1
Ваня подарил Росинке большой знак вопроса. Росинка попыталась сделать из него восклицательный знак, растянув его в разные стороны. Но ничего у неё не получилось, так как после прекращения действия силы, форма и размеры знака полностью восстановились. Какую деформацию при этом наблюдала Росинка?
A) Восклицательную Б) Восстановительную В) Жёсткую Г) Пластическую Д) Упругую
2

– Это что за граффити? – спросила Росинка у Алисы.
– Это не граффити, а титульный лист доклада про шотландского инженера, изобретателя-механика, – ответила Алиса. – Он создал универсальную паровую машину двойного действия. Его изобретения запустили процесс промышленной революции. В честь него названа единица измерения физической величины.
– И кто это?
Но Алиса уже закончила работу и убежала смотреть черепашьи бега.
Подскажите Росинке, кто изображён на рисунке Алисы.
A) Джоуль Б) Вольта В) Ньютон Г) Паскаль Д) Уатт
3
Ваня рассказал ребятам, как в школе выполнял лабораторную работу «Измерение коэффициента трения скольжения». А что из оборудования он использовал для измерения силы трения?
A) Грузы массой m = 100 г каждый
Б) Деревянный брусок
В) Динамометр
Г) Мерную ленту
Д) Штатив
4

На рисунке изображены три свинцовых шара, центры которых расположены на одной горизонтальной линии на некоторой высоте над поверхностью земли. Если шары одновременно отпустить, то какой из них первым достигнет горизонтальной поверхности?
Примечание. Сила сопротивления воздуха пренебрежимо мала, и её можно не учитывать.
A) 1
Б) 2
В) 3
Г) Шары достигнут поверхности земли одновременно.
Д) Недостаточно данных для ответа.
5

Робик, используя стробоскоп, сделал несколько фотоснимков шарика с интервалом ∆t = 1,0 с, который начал движение вдоль оси OX (рисунок). Начальная координата шарика x0 = 0. Помогите Робику определить, какой путь прошёл шарик за вторую секунду движения?
A) 1,0 м Б) 1,5 м В) 2,0 м Г) 2,5 м Д) 4,5 м
6
Росинка читала задачу: “Тело движется с постоянным ускорением 13 м/с2. Определите модуль скорости тела через 10 с после начала движения”. Какая из формул поможет Росинке в данной задаче?

7
Шайба, по которой Ваня ударил клюшкой, остановилась через t = 8 с после удара. Начальная скорость шайбы v = 4 м/с, масса шайбы m = 160 г. Определите скорость шайбы относительно земли через промежуток времени ∆t = 10 с после удара.
A) 0 м/с Б) 1 м/с В) 2 м/с Г) 3 м/с Д) 4 м/с
8

Росинка проводила опыты по гидростатике. Сначала она набрала в стаканы воду, причём в левом стакане уровень воды ниже, чем в правом, и соединила их тонкой трубкой, внутри которой тоже была вода, а посередине небольшой пузырёк воздуха (левый рисунок). Потом она взяла ещё два стакана, в левый налила воду, а в правый глицерин (плотность глицерина ρ2 больше плотности воды ρ1) до одного уровня, и соединила их такой же трубкой с водой и пузырьком воздуха (правый рисунок). Куда будут двигаться пузырьки воздуха в трубках?
A) Пузырёк №1 вправо, пузырёк №2 вправо.
Б) Пузырёк №1 влево, пузырёк №2 будет неподвижным.
В) Пузырёк №1 влево, пузырёк №2 вправо.
Г) Пузырёк №1 влево, пузырёк №2 влево.
Д) Пузырёк №1 будет неподвижным, пузырёк №2 влево.
9
Росинка уронила из окна одиннадцатого этажа одновременно два одинаковых по размеру шарика: деревянный и стальной. Через некоторое время шарики, ничего не задев, упали на землю. Какой шарик упадёт раньше, и на какой шарик во время полёта будет действовать большая средняя сила сопротивления воздуха?
A) Деревянный; на деревянный
Б) Деревянный; на стальной
В) Стальной; на деревянный
Г) Стальной; на стальной
Д) Среди ответов нет правильного
10
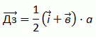
Чтобы лучше понять смысл физических формул, Росинка заменила принятые обозначения физических величин на буквы белорусского алфавита. Чёпик, листая её конспект, с удивлением рассматривал формулу:

где і – конечная скорость тела, в – начальная скорость тела, а – промежуток времени.
Какую физическую величину обозначают буквы Дз в этой формуле?
A) Координату
Б) Перемещение
В) Путь
Г) Среднюю скорость
Д) Ускорение
11
Росинка заметила, как Ваня разбирался с каким-то понятием. Ваня говорил тихо, поэтому она услышала немного, только отдельные слова: “относительно”, “движение”, “тел”.
Подскажите Росинке, с каким понятием разбирался Ваня.
A) Массы тела
Б) Материальной точки
В) Перемещения
Г) Тела отсчёта
Д) Траектории
12
– Опять в телефоне играешься, – укоризненно сказал Ваня Росинке.
– Не играюсь я, – обиженно ответила Росинка. – Хочу в интернет-магазине заказать прибор для измерения скорости. Буду скорость свою измерять. Да вот забыла, как этот прибор называется.
Помогите Росинке выбрать прибор для измерения скорости.
A) Акселерометр Б) Быстрометр В) Скорометр Г) Спидометр Д) Шагомер
13
Росинка изучала изображение точечного источника в небольшом плоском зеркале, которое висело на вертикальной стене. Чёпик сдвинул зеркало вдоль стены на один метр вправо. Как сместилось изображение источника?
A) Сместилось влево на два метра
Б) Сместилось вправо на два метра
В) Сместилось влево на один метр
Г) Сместилось вправо на один метр
Д) Осталось на месте
14

Росинка составила для Чёпика ребус, в котором зашифровала некое слово. А чем является это слово?
A) Единицей измерения
Б) Линией
В) Прибором
Г) Физическим явлением
Д) Физической величиной
15
Чёпик с Росинкой изучали теплопроводность медного стержня. Для этого они расположили на стержне на равном расстоянии электронные термометры и пронумеровали их по порядку. Затем начали нагревать один из краёв стержня при помощи электрической плитки. Спустя некоторое время они сняли показания термометров и занесли в таблицу. Алиса, изучив полученные ребятами данные, сказала: – Один из ваших термометров неисправен.

Помогите ребятам определить номер неисправного термометра.
A) 1 Б) 2 В) 3 Г) 4 Д) 5
16
– Что это за буквы ты вырезаешь? – заинтересовано спросила у Алисы Росинка.
– Буквы, из которых состоит название физической величины, – ответила Алиса.
– Ну и в чём измеряется величина, название которой состоит из букв «К», «О», «С», «Т» и «Ь»? – с удивлением спросила Росинка.
– Так я ещё не все вырезала! – усмехнулась Алиса.
Помогите Росинке понять, в чём измеряется физическая величина, которую загадала Алиса.
A) 1 А Б) 1 Вт В) 1 м/с Г) 1 м/с2 Д) 1 Н
17
Росинка и Чёпик листали учебник физики, и их внимание привлёк рисунок.

Что демонстрирует данный рисунок?
A) Гравитационное взаимодействие
Б) Движение по окружности
В) Деформацию
Г) Поступательное движение
Д) Прямолинейное движение
18

Росинка расположила на горизонтальном полу точечный источник света на машинке и экран, а между ними поставила небольшой столбик (рисунок, вид сверху). После этого она включила машинку, и та вместе с источником света стала двигаться влево со скоростью, модуль которой v = 12 см/с. С какой скоростью vт и в каком направлении будет двигаться тень от столбика на экране?
Примечание. Относительные расстояния между телами можно определить с помощью клеточного поля.
A) 80 мм/с, влево
Б) 80 мм/с, вправо
В) 12 см/с, влево
Г) 18 см/с, влево
Д) 18 см/с, вправо
19
Расстояние между Землёй и Солнцем a = 1,0 а.е. (астрономическая единица, равная 150 млн. км), а между Солнцем и Юпитером a1 = 5,2 а.е. Определите за какой промежуток времени ∆t световой луч, выпущенный с Земли, достигнет поверхности Юпитера, когда планеты будут находиться на минимальном расстоянии друг от друга.
Примечание. Орбиты Земли и Юпитера считайте круговыми, скорость света в вакууме c = 3,0 ∙ 108 м/с.
A) 21 с Б) 8,0 мин В) 16 мин Г) 35 мин Д) 1,0 ч
20
– Мы сегодня новую величину проходили на уроке, – объявил Чёпик. – Забыл, как она называется, зато запомнил единицу измерения: ньютон на килограмм (Н/кг)!
– Но ведь в международной системе единиц СИ используют другие единицы измерения, – неожиданно сказала Алиса.
Какие?

21

У Чёпика есть три электромоторчика с разным сопротивлением, сила тока через которые, как настаивает Чёпик, должна быть одинаковой. Росинка предложила ему несколько схем подключения к источнику тока (рисунок). Однако, в одной из схем не выполняется условие Чёпика. В какой?
A) 1 Б) 2 В) 3 Г) 4 Д) 5
22

Робик паял электрическую схему и ему понадобился резистор сопротивлением R0 = 4,0 Ом, но в его распоряжении были только резисторы сопротивлением R = 6,0 Ом. Алиса предложила ему несколько схем из имеющихся у него резисторов. Какая из них подходит Робику?
A) 1
Б) 2
В) 3
Г) 4
Д) Все схемы подходят
23

– Буду опыты по электричеству делать. Электрическое сопротивление буду измерять! – торжественно воскликнул Чёпик.
– Но у тебя в оборудовании нет ни одного резистора. – с опаской заметила Росинка.
– Ну и что, я буду измерять сопротивление амперметра, он у нас далеко не идеальный! – успокоил Росинку Чёпик.
В собранной Чёпиком схеме использованы два одинаковых вольтметра и амперметр, при этом показания вольтметров U1 = 11,9 В, U2 = 12,0 В, а показания амперметра I = 0,25 А. Помогите Чёпику определить сопротивление амперметра.
A) 0,10 Ом Б) 0,25 Ом В) 0,40 Ом Г) 0,75 Ом Д) 0,99 Ом
24
В кружку с водой, взятой при температуре tв = 20°С Ваня бросил металлический кубик нагретый до температуры tк = 145°С, в итоге в кружке установилась температура t1 = 40°С. Какое минимальное количество кубиков N нужно было бросить Ване изначально, чтобы вода в кружке закипела (t2 = 100°С)?
Примечание. Потерями теплоты в окружающую среду можно пренебречь.
A) 5 Б) 8 В) 9 Г) 10 Д) 12
25
Алиса подбросила небольшое тело вертикально вверх с начальной скоростью, модуль которой v0 = 15 м/с. Определите путь тела s за вторую секунду полёта.
A) 1,3 м Б) 2,5 м В) 10 м Г) 20 м Д) 50 м
26

Алиса и Ваня готовились к соревнованиям. Одновременно они выбежали из точки A круговой дорожки длиной L = 400 м в разные стороны (рисунок). Алиса побежала равномерно со скоростью, модуль которой v = 5,0 м/с, а Ваня из состояния покоя так, что модуль его скорости ежесекундно увеличивался на ∆v = 0,50 м/с. Определите промежуток времени ∆t, через который расстояние между ними будет максимальным.
A) 5,0 с Б) 10 с В) 15 с Г) 20 с Д) 25 с
27
Росинка бросила небольшой камушек со скоростью v0, модуль которой v0 = 10 м/с, а направление вектора v0 составляет угол α = 30° с горизонтом. Определите через какой промежуток времени t модуль скорости камушка v будет минимальным.
A) 0,50 с
Б) 1,0 с
В) 5,0 с
Г) 10 с
Д) Камушек будет двигаться равномерно (v = const)
28
Росинка уронила (без начальной скорости) из окна небольшую бусинку. Интересно, что на высоте h = 9,0 м скорость бусинки оказалась равной средней скорости её падения. А с какой высоты H упала бусинка?
Примечание. Влиянием воздуха на бусинку при падении можно пренебречь.
A) 12 м Б) 15 м В) 18 м Г) 27 м Д) 36 м
29

Алиса находилась на старте, а Чёпик – у финишной черты. Когда Алиса побежала, Чёпик пошёл ей навстречу со скоростью, модуль которой v = 2,0 м/с. Робик построил графики зависимости пути ребят от времени, забыв при этом оцифровать ось s (рисунок). Определите длину дистанции L, если когда ребята встретились, они остановились.
A) 50 м Б) 75 м В) 100 м Г) 150 м Д) 200 м
30
Алиса пробежала по стадиону круглой формы ровно N = 10 кругов. Определите путь s Алисы за время движения, если максимальное значение модуля перемещения было ∆rmax = 70 м.
A) 70 м Б) 0,12 км В) 0,44 км Г) 0,70 км Д) 2,2 км