1
Укажите, какая из перечисленных физических величин при равномерном прямолинейном движении тела остаётся постоянной.
A) координата
Б) перемещение
В) путь
Г) промежуток времени
Д) скорость
2
Алиса совершает утреннюю пробежку. Какое из физических понятий не является относительным.
A) масса Алисы
Б) перемещение Алисы
В) путь, пройденный Алисой
Г) скорость Алисы
Д) траектория движения Алисы
3
Про кого ты читаешь? – спросил Чёпик Алису.
– Про очень интересного человека. Это британский ученый-физик, он сделал множество открытий, хотя вёл затворнический образ жизни. Он первым в 1798 году сумел измерить плотность Земли, проведя эксперимент с крутильными весами. Позже, используя результаты эксперимента, учёные смогли рассчитать гравитационную постоянную G = 6,67∙10-11 м3/кг∙с2.
– А кто этот учёный? – спросил Чёпик, но Алиса уже убежала по своим делам.
Подскажите Чёпику, кто же этот учёный.

A) Галилео Галилей
Б) Роберт Гук
В) Генри Кавендиш
Г) Исаак Ньютон
Д) Блез Паскаль
4
Ваня приготовил на конкурс кроссворд, состоящий из двух слов: физического явления, которое изучает механика и физической величины, которая при равнопеременном движении линейно зависит от времени.
Выпив кофе, он принёс кроссворд Алисе, чтобы похвастаться. Но оказалось, что пятно от кофе закрыло несколько цифр.

Помогите Алисе найти зашифрованное слово.
A) вектор Б) величина В) квазар Г) космос Д) масса
5
При прямолинейном движении модуль скорости тела уменьшается. Укажите, в какую сторону направлено ускорение тела.
A) в любую сторону
Б) в ту же сторону, что и скорость
В) перпендикулярно направлению скорости
Г) против направления скорости
Д) также, как перемещение тела
6

Тело движется равноускоренно. На рисунке v0 – начальная скорость тела, a – его ускорение, t – время движения. Какой величине соответствует вектор x?
A) конечной скорости тела
Б) перемещению тела
В) силе, действующей на тело
Г) средней скорости тела
Д) ускорению тела
7
Монетка упала на поверхность с некоторой высоты h. Определите модуль средней скорости 〈v〉 монетки за время падения, если в момент удара о поверхность модуль её скорости был v = 12 м/с.
Примечание. Сила сопротивления воздуха пренебрежимо мала.
A) 4,0 м/с
Б) 6,0 м/с
В) 8,0 м/с
Г) 10,0 м/с
Д) 12,0 м/с
8
Алиса уронила мяч с высоты h0 = 2,0 м и после того, как он ударился о поверхность, поймала его на высоте h = 1,5 м. Определите, во сколько раз k путь s мяча больше его модуля перемещения ∆r.
Примечание. Считайте, что мяч двигался строго по вертикали.
A) в 7 раз
Б) в 5 раз
В) в 3 раза
Г) в 1,5 раз
Д) путь равен модулю перемещения
9

Ваня готовил домашнее задание, используя учебник физики, и рассматривал рисунок в нём. А что демонстрирует данный рисунок?
A) равномерное движение
Б) свободное падение
В) уменьшение трения
Г) виды деформации
Д) способ электризации
10

Чёпик жёстко закрепил пружину и начал подвешивать к ней грузики массой m0 = 100 г каждый. Результаты своего исследования он представил в виде графика (см. рис.). Из предложенных выводов, которые можно сделать исходя из полученных результатов исследования, выберите неверный.
A) длина недеформированной пружины l = 20 см
Б) Чёпик в ходе экспериментов использовал N = 10 грузов
В) в ходе эксперимента длина пружины превышала l = 60 см
Г) коэффициент жёсткости пружины больше k = 20 Н/м
Д) чем больше грузов N подвешено к пружине, тем больше её длина l
11
Два небольших тела, находящиеся на некоторой высоте h над горизонтальной поверхностью, бросили с некоторой начальной скоростью v0. Первое тело бросили горизонтально, а второе вертикально вверх. Когда первое тело упало на поверхность, его скорость была направлена под углом α=60° к горизонту, а модуль скорость был равен v1 = 10 м/с. Определите модуль скорости v2, с которой второе тело упало на поверхность. Сопротивлением воздуха пренебречь.
A) 8,7 м/с Б) 10 м/с В) 12 м/с Г) 15 м/с Д) 20 м/с
12

Из диагонально противоположных углов стадиона прямоугольной формы с размерами a = 55 м и b = 100 м вдоль меньшей стороны одновременно начинают пробежку Алиса и Ваня, так как показано на рисунке. Модуль скорости Алисы vA = 4,0 м/с, а Вани – vB = 3,0 м/с. Определите через какой минимальный промежуток времени ∆t расстояние между Алисой и Ваней станет L = 55 м.
A) 10 с Б) 30 с В) 50 с Г) 70 с Д) 90 с
13
Ваня идёт по траволатору (движущася дорожка) в переходе метро против её движения с некоторой скоростью v относительно дорожки. Заметив Алису, он уменьшил свою скорость в k=2 раза. Оказалось, что в обоих случаях модуль скорости Вани относительно стен метро был одинаковый. Определите модуль скорости Вани v, если модуль скорости траволатора v0 = 1,2 м/с.
A) 0,60 м/с Б) 1,2 м/с В) 1,6 м/с Г) 2,0 м/с Д) 2,4 м/с
14

Вдохновлённый очередным художественным фильмом Ваня составил ребус, в котором зашифровал его название. Но Алиса смогла быстро разгадать Ванин ребус, потому что она хорошо знает физику, а название фильма совпало с известным физическим явлением. Каким?
A) высокое напряжение
Б) гиперкуб
В) гравитация
Г) движение вверх
Д) невесомость
15
К какому виду физических явлений можно отнести эхо?
A) к звуковым
Б) к магнитным
В) к световым
Г) к тепловым
Д) к электрическим
16

Ваня бросал вертикально вверх небольшой металлический шарик и с помощью замедленной съёмки определял модуль его скорости в разные моменты времени. По результатам он построил график зависимости модуля скорости шарика от времени |v|(t), но забыл оцифровать ось ординат (см. рис). Определите, на какую максимальную высоту hmax поднялся шарик.
A) 3,0 м Б) 4,5 м В) 9,0 м Г) 11 м Д) 20 м
17
Ваня и Чёпик встали на вращающийся с постоянной угловой скоростью ω = 1,8 рад/с диск, радиусом R = 6,0 м. Оказалось, что модули их линейных скоростей различаются на Δv = 4,5 м/с. Какое максимально возможное расстояние r может быть между ними.
A) 2,5 м Б) 6,0 м В) 8,5 м Г) 9,5 м Д) 12 м
18
Электромобиль, который двигался с постоянной скоростью, начал торможение. За некоторый промежуток времени ∆t после начала торможения его путь составил s1 = 20 м, а за следующий такой же временной промежуток ∆t путь был s2 = 12 м. Определите тормозной путь s электромобиля, если он двигался равнозамедленно.
A) 32 м Б) 36 м В) 40 м Г) 49 м Д) 56 м
19
Тонкая струя воды бьёт вверх под небольшим углом к вертикали с начальной скоростью, модуль которой v0 = 5,0 м/с, из отверстия, площадь сечения которого S = 6,0 мм2. Определите массу m воды, находящуюся в воздухе, если силы сопротивления движению струи пренебрежимо малы, а отверстие находится на горизонтальной поверхности.
A) 5,0 г Б) 10 г В) 15 г Г) 30 г Д) 50 г
20

У Вани есть ёмкости разной формы, которые имеют круглое дно равной площади. В каждую ёмкость он налил воду так, чтобы её уровень был одинаковый (см. рис.). В какой ёмкости сила Fд, с которой вода давит на дно, больше?
A) 1
Б) 2
В) 3
Г) 4
Д) сила давления на дно будет равная для всех ёмкостей
21
Ваня изучал неизвестное физическое явление. В ходе исследования, он измерил существенные параметры явления: α = 18 А и β = 1,5 мм. В результате вычислений Ваня получил новую физическую величину с единицей измерения [X]=А/м2 . Определите численное значение X этой физической величины, если при расчётах Ваня не применял действия сложения и вычитания, а также не использовал никакие другие значения.
A) 4,1∙10-5 А/м2
Б) 2,7∙10-2 А/м2
В) 1,2 А/м2
Г) 1,2∙104 А/м2
Д) 8,0∙106 А/м2
22
Решив пару задач по физике, Ваня задумался, как ему увековечить своё имя.
– А давай назовём в твою честь единицу измерения ускорения, – предложила в шутку Алиса, – ведь она пока не занята.
– Действительно, – поддержал шутку Ваня. – Пусть 1 м/с2 = 1 Вн (один метр в секунду за секунду равен одному ване).
– А как в таком случае выразить через вани единицу измерения мощности 1 Вт (один ватт)? – спросил в недоумении Чёпик.
Подскажите ребятам правильный ответ.
A) 
Б) 1 Вт=1 Вн
В) 1 Вт=1 кг∙1 с∙1 Вн
Г) 1 Вт=1 кг∙1 с∙1 Вн2
Д) 1 Вт=1 кг∙1 с2∙1 Вн2
23

На рисунке изображены три алюминиевых кубика. Для их удельных сопротивлений ρ справедливо соотношение …
A) ρ1 > ρ2 > ρ3
Б) ρ3 > ρ2 > ρ1
В) ρ1 = ρ2 > ρ3
Г) ρ1 = ρ2 < ρ3
Д) ρ1 = ρ2 = ρ3
24
Чёпик попросил Алису помочь ему решить задачу: «На резистор подали напряжение U. Определите силу тока I в нём, если резистор изготовлен из проволоки длиной l и площадью поперечного сечения S. Удельное сопротивление проволоки ρ».
Алиса слушала невнимательно, поэтому переспросила: «А что требуется найти в задаче?».
Помогите Чёпику ответить на вопрос Алисы.
A) напряжение на резисторе U
Б) силу тока в резисторе I
В) длину проволоки l
Г) площадь поперечного сечения проволоки S
Д) удельное сопротивление проволоки ρ
25

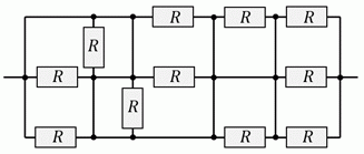
Ваня решил собрать электрическую схему (см. рис.) для пуска вечного двигателя, но не смог определить её сопротивление Rсх. Помогите Ване, если сопротивления всех резисторов одинаковы R = 12 Ом.
Примечание. Сопротивлением соединительных проводов можно пренебречь.
A) 4,0 Ом Б) 6,0 Ом В) 12 Ом Г) 24 Ом Д) 36 Ом
26
Участок электрической цепи состоит из четырёх одинаковых резисторов, соединённых параллельно. Как изменится общее сопротивление участка цепи, если последовательно этим резисторам добавить ещё один такой же резистор?
A) увеличится в 1,25 раза
Б) увеличится в 1,5 раза
В) увеличится в 2 раза
Г) увеличится в 4 раза
Д) увеличится в 5 раз
27
Микроволновая печь, мощность которой P1 = 600 Вт, разогревает суп от комнатной температуры до нужной за промежуток времени ∆t1 = 3 мин 20 с. За какой промежуток времени ∆t2 разогрела бы этот суп микроволновая печь мощностью P2 = 800 Вт?
A) 2 мин 20 с
Б) 2 мин 30 с
В) 2 мин 40 с
Г) 3 мин 0 с
Д) 3 мин 40 с
28
Находясь на отдыхе, Ваня заметил, что вертикально поставленный стержень не отбрасывает тени. Тогда он расположил плоское зеркало так, что солнечные лучи отражались от него строго на запад. Чтобы угол падения лучей на зеркало стал минимальным, Ване придётся ждать промежуток времени ∆t равный...
A) 3 ч Б) 4,5 ч В) 6 ч Г) 9 ч Д) 12 ч
29
Как надо расположить собирающую и рассеивающую линзы вдоль одной оси, чтобы параллельные лучи света, пройдя через них, остались параллельными? Первой по ходу движения лучей света расположена собирающая линза.
A) передние фокусы линз должны совпадать
Б) задние фокусы линз должны совпадать
В) задний фокус собирающей линзы должен совпадать с передним фокусом рассеивающей линзы
Г) рассеивающая линза должна находиться на двойном фокусном расстоянии от собирающей линзы
Д) лучи останутся параллельными при любом расположении линз
30

Ваня нарисовал луч, проходящий через линзу, расположенную в коробке с зеркальными стенками, в масштабе 1 клеточка 10 см. Однако, ему срочно понадобилось поиграть, поэтому он бросил рисунки незаконченными. Определите фокусное расстояние F линзы.
Примечание. Луч распространяется в плоскости рисунка из точки A в точку B. Плоскости зеркал и линзы перпендикулярны плоскости рисунка.
A) 2,0 см Б) 5,0 см В) 10 см Г) 15 см Д) 20 см