1

Разгадайте ребус и укажите картинку, которая соответствует зашифрованному в ребусе слову.

2
Выберите то, что не является названием поисковой системы.

3

Компьютерный тест, предназначенный для определения того, кем является пользователь системы – человеком или компьютером, во время которого предлагается опознать символы с картинки, называется…
A) пароль Б) капча В) логин Г) кэш Д) сканирование
4
Разрешающая способность монитора – это …
A) размер экрана по диагонали
Б) тактовая частота
В) напряжение питания
Г) количество точек вдоль одной строки и количество горизонтальных строк
Д) частота кадровой и строчной развёртки
5
Укажите, что из перечисленного не является логотипом операционной системы.

6
Единица измерения размера шрифта в текстовом редакторе Microsoft Word …
A) пиксель Б) пункт В) миллиметр Г) сантиметр Д) дюйм
7
Для какого целого значения переменной x истинно высказывание
(x < 9) И НЕ(x < 8)?
A) 9 Б) 8 В) 7 Г) 6 Д) 5
8
Этап, являющийся заключительным при решении задач на компьютере, – …
A) разработка алгоритма
Б) программирование
В) тестирование и отладка
Г) построение математической модели
Д) построение компьютерной модели
9
Какая из указанных ниже комбинаций клавиш включает в Microsoft Word подчёркивание вводимого текста?
A) Ctrl+U
Б) Ctrl+I
В) Ctrl+B
Г) Ctrl+C
Д) Ctrl+V
10
Довольно часто для разблокировки планшетных компьютеров и сотовых телефонов используется графический ключ, который представляет собой ломаную линию, соединяющую какие-то узлы. Сколько различных вариантов графических ключей можно создать, если использовать в качестве узлов круги на рисунке, причём каждый круг ровно один раз?

A) 12 Б) 16 В) 18 Г) 24 Д) 36
11
Команда read(a, b) языка программирования PascalABC.NET позволяет …
A) вывести на экран монитора значения переменных a и b
Б) поменять местами значения переменных a и b
В) вывести на экран монитора все целые числа от a до b
Г) удалить из переменных a и b их значения
Д) ввести с клавиатуры значения переменных a и b
12

Отгадайте ребус.
A) техника Б) определение В) технология Г) ветвление Д) воспроизведение
13
В классе 25 учащихся. 10 из них имеют хотя бы сестру, 15 учащихся имеют хотя бы брата. У Владислава, Полины и Марианны нет ни брата, ни сестры. Сколько учащихся класса имеют и брата, и сестру?
A) 2 Б) 3 В) 4 Г) 5 Д) 6
14

Схема представляет процесс …
A) получения информации
Б) передачи информации
В) обработки информации
Г) распространения информации
Д) систематизации информации
15
Циклический алгоритм используется при вычислении …
A) суммы двух чисел
Б) площади треугольника
В) произведения двух чисел
Г) числа, обратного данному
Д) суммы всех нечётных натуральных чисел от 1 до 100
16
Какими максимальными числами могла оперировать машина Бэббиджа?
A) двузначными Б) четырёхзначными В) шестизначными Г) восьмизначными Д) десятизначными
17
С помощью какой клавиши можно создать абзац в текстовом редакторе Microsoft Word?
A) Tab Б) Delete В) Esc Г) Backspace Д) Enter
18
Для чего используется расширение имени файла?
A) расширяет экран монитора
Б) указывает на тип данных
В) расширяет возможности обработки текста
Г) определяет длину имени файла
Д) увеличивает размер жесткого диска
19
WYSIWYG – что это?
A) принцип работы текстовых и других редакторов
Б) курсивный шрифт
В) название графического редактора
Г) цветовая модель
Д) название видеоредактора
20
Вместо слова кубок написали кубик. Используя только клавиатуру, исправьте ошибку, учитывая, что включён режим замены, курсор обозначен символом | и находится между буквами к и у:
К|УБИК.
Какое наименьшее количество нажатий клавиш на клавиатуре надо произвести, чтобы исправить допущенную ошибку?
A) 1 Б) 2 В) 3 Г) 4 Д) 5
21
Под круглым числом понимают число, которое оканчивается одним или несколькими нулями. Если к максимальному n-разрядному числу прибавить 1, то результат становится круглым (n + 1)-разрядным числом. Например, 999 + 1 = 1000.
Максимальное целое число типа integer в PascalABC.NET в 32-битной системе, равно 2 147 483 647. Прибавим число 2 к этому числу в 32-битной системе. Какое число мы получим?
A) 4 294 967 297 Б) 0 В) 2 Г) круглое Д) отрицательное
22
Укажите неправильное соответствие вида программы и её назначения:
A) архиватор – сжатие информации
Б) браузер – просмотр веб-страниц
В) файловый менеджер – рассылка писем
Г) драйвер – управление устройством
Д) антивирус – защита от вредоносных программ
23
В каком предложении правильно расставлены пробелы? Учтите, что двух и более рядом стоящих пробелов здесь нет.
A) Браузер – программа , установленная на пользовательском компьютере , которая служит для просмотра веб - страниц .
Б) Браузер–программа , установленная на пользовательском компьютере , которая служит для просмотра веб-страниц.
В) Браузер–программа, установленная на пользовательском компьютере, которая служит для просмотра веб - страниц.
Г) Браузер – программа, установленная на пользовательском компьютере, которая служит для просмотра веб-страниц.
Д) Браузер – программа, установленная на пользовательском компьютере, которая служит для просмотра веб - страниц.
24
Егор, Кирилл и Саша – лучшие учащиеся класса. Их одноклассники, сидящие за партами среднего ряда, сказали, что по результатам первой четверти Егор не будет первым, а сидящие в ряду у стены утверждают, что вторым будет Саша. Остальные учащиеся считают, что Кирилл вторым не будет. Когда стали известны результаты первой четверти, то оказалось, что только одна группа учащихся была права, а две другие – ошиблись. Установите, кто из троих лучших учащихся класса был первым, кто – вторым, а кто – третьим, если все они показали разные результаты.
A) 1-Егор, 2-Кирилл, 3-Саша
Б) 1-Саша, 2-Кирилл, 3-Егор
В) 1-Егор, 2-Саша, 3-Кирилл
Г) 1-Саша, 2-Егор, 3-Кирилл
Д) 1-Кирилл, 2-Егор, 3-Саша
25
Дан алгоритм:
начало
1. Задумайте какое-нибудь натуральное число.
2. Запишите задуманное число в двоичной системе счисления.
3. Если количество единиц в двоичной записи чётно, то припишите к ней справа 0, а если нечётно, – то 1.
4. К полученному новому двоичному числу примените один раз пункт 3 этого алгоритма.
5. Запишите полученное двоичное число в десятичной системе счисления.
конец
Какое из указанных ниже чисел можно получить по этому алгоритму?
A) 21 Б) 22 В) 23 Г) 24 Д) 25
26

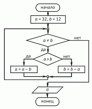
Исполните алгоритм, заданный блок-схемой. Укажите конечное значение переменной а.
A) 0 Б) 1 В) 4 Г) 6 Д) 12
27
В цветовой модели RGB один пиксель кодируется тремя байтами. Укажите информационный объём картинки, имеющей размер 3072×4096 пикселей.
A) 12 Кбайт Б) 36 Кбайт В) 12 Мбайт Г) 36 Мбайт Д) 12 Гбайт
28

Слово, зашифрованное в ребусе, означает …
A) компьютер, к которому подключён принтер
Б) компьютер, к которому подключён сканер
В) компьютерную программу, восстанавливающую сбои в работе компьютера
Г) компьютерную программу, которая загружает операционную систему в ОЗУ
Д) сетевой компьютер, обрабатывающий запросы от других компьютеров в локальной или глобальной сети
29
Найдите объём этой флешки
, если известны суммы объёмов флешек на рисунке. Одинаковые флешки имеют одинаковые объёмы, а разные флешки – разные объёмы.

A) 2 ГБ Б) 4 ГБ В) 8 ГБ Г) 16 ГБ Д) 32 ГБ
30

Черепашка исполнила алгоритм из 32 команд. В нём были только две различные команды: З1 и В2. З1 – пройти на запад 1 метр, В2 – пройти на восток 2 метра. Команд З1 было на 12 больше, чем команд В2. После исполнения алгоритма черепашка пришла к выводу, что для возвращения в точку старта ей надо выполнить …
A) В2
Б) З1
В) З1, З1
Г) В2, В2
Д) З1, В2