1
Если реки Беларуси упорядочить по убыванию их длины, то первой будет записана река…
Друть (295 км), Припять (500 км), Случь (197 км), Днепр (690 км), Западная Двина (328 км), Щара (325 км), Свислочь (297 км), Березина (613 км), Птичь (421 км), Нёман (459 км), Ясельда (242 км), Сож (493 км), Вилия (276 км).
A) Случь Б) Березина В) Ясельда Г) Днепр Д) Друть
2

Какая фигура в таблице находится справа от окружности и слева от звёздочки, над квадратом и под треугольником?

3

Вычеркни повторяющиеся буквы, а из оставшихся составь название одного из популярных языков программирования.
A) Питон Б) Бейсик В) Паскаль Г) Алгол Д) Лого
4
Для ведения переговоров с другими судами без радиосвязи у моряков существует свой язык. Его относят к сигнальным средствам и называют флажковой азбукой. В нём для передачи информации каждой букве алфавита соответствует свой уникальный флажок. На рисунке представлен один из вариантов такой флажковой азбуки.

Какое слово зашифровано с использованием флажковой азбуки?

A) проект Б) пробел В) прокол Г) пробка Д) пролёт
5

Разгадай ребус. Полученное слово означает…
A) устройство для автоматического вычерчивания с большой точностью рисунков, схем, сложных чертежей, карт и другой графической информации на бумаге или кальке
Б) устройство для печати текста на плотной бумаге
В) устройство для уплотнённой записи информации на жёсткий диск
Г) устройство для чтения информации с различных носителей
Д) устройство для воспроизведения видео на смартфоне
6

Символ для этого вида подключения (интерфейса) дизайнеры позаимствовали из древней мифологии. В древнегреческой мифологии могучие вилы Посейдона имеют особое значение – это и грозное оружие, с помощью которого он разрушает скалы, и символ власти. Символом этого вида подключения или интерфейса является древовидная блок-схема (трезубец), на разных концах которой находятся круг, треугольник и квадрат. Эти три геометрические фигуры символизируют разнообразие периферийных устройств, которые могут быть подключены к этому единому интерфейсу. Как он называется?
A) bluetooth Б) firewire В) USB Г) WiFi Д) Plug&Play
7

Этот значок, состоящий из трёх параллельных горизонтальных линий, часто используется в интерфейсах приложений для мобильных устройств, а в последнее время и в интернет-сайтах. Его назначение – открытие списка меню в браузерах и приложениях. Какое название он получил?
A) хэштег Б) капча В) гамбургер Г) профиль Д) логин
8
Нолик в детском парке развлечений купил себе брикет сливочного мороженого белого цвета с приятным ванильным ароматом. Оно было сладким, холодным и липким. Какую информацию получил Нолик, пока ел сладкое мороженое? Укажите наиболее полный ответ.
A) зрительную, вкусовую
Б) зрительную, вкусовую, тактильную
В) зрительную, вкусовую, обонятельную
Г) зрительную, вкусовую, обонятельную и тактильную
Д) вкусовую, обонятельную
9
Как называется компьютер, который предоставляет свои ресурсы другим компьютерам?
A) адаптер Б) модем В) шлюз Г) коммутатор Д) сервер
10
Какое условие должно быть написано в алгоритме вместо многоточия?

A) Ответили?
Б) Не ответили?
В) Что делать дальше?
Г) Телефон чистый?
Д) Отойти от телефона?
11
Литорея – род шифрованного письма, употреблявшегося в древнерусской рукописной литературе. Литорея бывает простая и мудрая. Простую литорею называют тарабарской грамотой. Суть её в следующем. Поставив согласные буквы в два ряда в порядке, как указано ниже на рисунке, и употребив в письме верхние буквы вместо нижних, а нижние вместо верхних, зашифровывают слова, причём гласные буквы, буквы Ъ и Ь остаются без изменения.
Б В Г Д Ж З К Л М Н
Щ Ш Ч Ц Х Ф Т С Р П
Какое слово зашифровано с использованием литореи?
ТОПКМОССЕМ
A) компьютер Б) контроллер В) компиляция Г) конкурсант Д) компилятор
12
Рома, Саня, Боря, Ваня, Вова – мои друзья. Я зашифровал их имена так: 3537, 3712, 8597, 4582, 0712. Одна цифра соответствует одной букве имени. Одинаковым буквам соответствуют одинаковые цифры, разным буквам – разные цифры, причём различие между прописными и строчными буквами не проводилось. Какому имени соответствует шифр 8597?
A) Боря Б) Саня В) Рома Г) Ваня Д) Вова
13
Крош в 2016 году на своём участке перед домом положил тротуарную плитку. В прошлую субботу прошёл сильный ливень, который размыл часть площадки перед домом, а потоки воды унесли часть плиток. Теперь перед Крошем встал вопрос о ремонте повреждённой площадки. Сколько понадобится кролику денег на приобретение тротуарной плитки для ремонта, если одна квадратная плитка стоит 1 рубль 50 копеек, а одна прямоугольная (её размер в два раза больше квадратной) – 2 рубля? Схема повреждённого участка тротуара изображена на рисунке. Плитку разрезать нельзя.

A) 42 рубля
Б) 37 рублей
В) 41 рубль
Г) 40 рублей 50 копеек
Д) 40 рублей
14

На рисунке изображена схема дорог, которые связывают города А, B, C, D, E, G и H, расположенные в Фиксиленде. Сколькими различными маршрутами могут добраться фиксики из города А в город H? Двигаться по дорогам можно только в направлениях, указанных стрелками.
A) 5 Б) 6 В) 7 Г) 8 Д) 9
15
В Фиксилэнде для быстрого передвижения между городами построены монорельсовые скоростные дороги. Техноград связан такими дорогами с городами Инфоград, Скансити, Байтик и Кластерс. В самый молодой город Айфонск ведут только две прямые дороги: из Скансити и из Инфограда. Какая схема соответствует построенной системе дорог в Фиксиленде?

16
При работе в Интернете для получения доступа к электронной почте, веб-форумам, аккаунтам социальных сетей и интернет-магазинам нужно проходить процедуру проверки подлинности путём введения имени пользователя (логина) и соответствующего пароля. В результате выполнения этой процедуры происходит проверка подлинности пользователя путём сравнения введённого им пароля с паролем, сохранённым в базе данных сайта. Как называется процедура проверки подлинности имени и пароля пользователя?
A) капча Б) алгоритмизация В) аутентификация Г) параметризация Д) аккредитация
17

На какой странице документа находится курсор?
A) 1 Б) 2 В) 27 Г) 28 Д) 251
18
Какая кнопка используется в Windows для команды «развернуть окно»?

19
Учёные придумали и создали робота способного создавать себе подобных роботов. Сколько всего роботов они получат за четвёртый год, если каждый робот создаёт к концу года двух идентичных?
A) 16 Б) 8 В) 32 Г) 54 Д) 81
20
У мальчика в коробке лежало 27 оловянных солдатиков, сделанных из старой оловянной ложки массой 133 г. 26 солдатиков были одинаковыми, а двадцать седьмой был одноногим. Его отливали последним, поэтому олова не хватило. Определите, какова масса двадцать седьмого солдатика? (Масса каждого солдатика равна целому числу граммов).
A) 3 г Б) 4 г В) 5 г Г) 6 г Д) 7 г
21
Андрей и Родион говорили правду всегда, кроме дня своего рождения. 6 февраля на вопрос: «Когда твой день рождения?» Андрей ответил: «Он был вчера»; Родион ответил: «Он будет завтра». Когда на следующий день им задали те же вопросы, то ответы были такие же. Когда родился каждый из них?
A) Андрей – 6 февраля, Родион – 8 февраля
Б) Андрей – 5 февраля, Родион – 7 февраля
В) Андрей – 6 февраля, Родион – 7 февраля
Г) Андрей – 5 февраля, Родион – 6 февраля
Д) Андрей – 5 февраля, Родион – 8 февраля
22
Английское название этого компьютерного термина, русский вариант которого звучит аналогично, в переводе на русский язык означает «по восемь» и представляет собой сокращение двух слов. Что это за термин?
A) килобайт Б) мегабайт В) мегабит Г) бит Д) байт
23
Сколько миллионов запросов могут обработать 6 DNS-серверов за 6 секунд, если два таких DNS-сервера за 2 секунды могут обработать 2 миллиона запросов от пользовательских компьютеров?
A) 2 Б) 6 В) 12 Г) 18 Д) 36
24
Место временного хранения копируемой информации называется…
A) место обмена
Б) ячейка обмена
В) буфер обмена
Г) кластер обмена
Д) позиция обмена
25
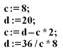
Определите значение переменной d после выполнения алгоритма:

Символ « := » обозначает оператор присваивания. Значение выражения, расположенного справа от оператора присваивания, записывается в переменную, расположенную слева от оператора присваивания. Знаки «+», «–», «*», «/» – соответственно операции сложения, вычитания, умножения и деления. Правила выполнения операций и порядок действий соответствуют правилам математики.
A) 8 Б) 20 В) 36 Г) 72 Д) 288
26
Возле дома Димы есть небольшая парковая зона, где посажены три ряда деревьев по четыре дерева в каждом ряду. Каждому дереву соответствует пара чисел (a, b), где число a обозначает номер ряда, а b – номер дерева в ряду. Например, самому большому дереву соответствует пара чисел (1, 3), а самому малому – (3, 1). Дима всегда предлагает своим друзьям прогуляться по его парковой зоне, руководствуясь приведённой блок-схемой. Какая схема движения соответствует прогулочному маршруту? |
 |

27
Петя составлял ряды чисел используя одно и то же правило: каждое последующее число в ряду он получал выполняя с предыдущим числом одно и то же действие. В каком ряду Петя нарушил закономерность?
A) 2, 4, 8, 16, 32, 64
Б) 3, 6, 12, 24, 48, 96
В) 5, 10, 20, 40, 80
Г) 1, 5, 10, 15, 20, 25
Д) 8, 16, 32, 64, 128, 256
28
Натуральные числа записаны в несколько строк следующим образом:

Чему равна сумма всех чисел, записанных в десятой строке?
A) 45 Б) 46 В) 55 Г) 505 Д) 1540
29
Драйвер – это специальная программа, которая помогает операционной системе компьютера определить устройство, подключенное к компьютеру. Какого из нижеперечисленных драйверов не существует:
A) драйвер для мыши
Б) драйвер для клавиатуры
В) драйвер для коврика мыши
Г) драйвер для сканера
Д) драйвер для принтера
30
Анаграмма – это слово или словосочетание, образованное путём перестановки букв, составляющих другое слово (или словосочетание). Расшифруйте слова в анаграммах. Выберите слово, обозначающее переносной персональный компьютер.
A) ууокбнт Б) осрцоерпс В) лкокион Г) лирзовете Д) кфмоинро