1

В один январский четверг Алиса, Ваня, Робик и Чепик захотели порешать занимательные задачи по физике. В одной из них они обнаружили таинственное послание, для расшифровки которого необходимо заполнить клетки таблицы. Ребята быстро поняли, что номера вопросов перепутаны. Помогите ребятам и найдите зашифрованное слово.
1. Раздел физики, в котором изучаются физическая природа и свойства света, а также его взаимодействие с веществом.
2. Планета, наблюдения за спутником которой позволили Олафу Рёмеру впервые экспериментально определить скорость света в 1672 году.
3. Учёный, именем которого названа формула для определения периода свободных колебаний в LC-контуре.
A) Опт Б) Орт В) Пик Г) Пир Д) Пси
2
– Пять, шесть, семь, минус восемь! Пять, шесть, семь, минус восемь! – повторяла Алиса.
– О чём ты говоришь? – спросил Ваня.
– Пытаюсь запомнить постоянную Стефана-Больцмана, – ответила Алиса.
– Это как?
– Она равна σ = 5,67 • 10-8 Вт • м-2 • К-4. То есть порядок цифр такой: пять, шесть, семь, минус восемь!
– А я обычно запоминаю формулу, а потом по ней вычисляю.
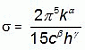
– К сожалению, я в формуле помню только величины, а вот степени забыла:
, где k = 1,38 • 10-23 Дж/К – постоянная Больцмана; с = 3,00 • 108 м/с – скорость света; h = 6,63 • 10-34 Дж • c – постоянная Планка; π ≈ 3,14.
– Тем не менее, – заявил Ваня, – я всё равно смогу посчитать сумму безразмерных коэффициентов α + β + γ.
Посчитайте и Вы эту сумму.
A) 3 Б) 4,5 В) 6 Г) 7,5 Д) 9
3
– Посмотри, это очки моего дедушки, – радостно заявил Чепик. – Он говорит, что их оптическая сила всего D = 1 дптр. Давай получим изображение настольной лампы.
– А ты уверен, что комната не окажется маленькой? – с сомнением спросила Алиса.
Определите минимальное расстояние L между предметом и его действительным изображением, которое можно получить с помощью линз этих очков.
4

Изучая биографии великих физиков, Ваня нашёл рисунок, на котором изображён учёный, имя которого ассоциируется, в том числе, и с единицей измерения электроёмкости. Назовите имя этого учёного.
A) Андре Мари Ампер
Б) Вильгельм Вебер
В) Алессандро Вольта
Г) Шарль Кулон
Д) Майкл Фарадей
5

– Чепик, между прочим, республиканская олимпиада по физике в 2021 году прошла в Могилёве. – проинформировала Чепика Алиса. – Кстати, вот фотография памятника Звездочёту, который мы видели на экскурсии (см. рис.). Вокруг памятника расположено 12 кованых кресел – по одному на каждый знак зодиака. Ночью из трубы телескопа бьёт мощный луч прожектора. А ты знаешь, во что превращается труба телескопа в дневное время?
Помогите Чепику ответить правильно.
A) в индикатор влажности воздуха
Б) в математический маятник
В) в стрелку компаса
Г) в стрелку-указатель солнечных часов
Д) в шкалу термометра
6
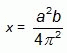
Алиса зашифровала некоторую физическую формулу, чтобы её не смогли распознать злоумышленники.
, где а – период колебаний, b – ускорение свободного падения, π = 3,14 – постоянная величина.
Какую физическую величину Алиса заменила на x?
A) амплитуду колебания
Б) длину маятника
В) жёсткость пружины
Г) массу тела
Д) энергию колебания
7

Робик тем временем пытался повторить известный эксперимент. Он нашёл рисунок, на котором изображена установка. На одном конце коромысла закреплён проводящий шар 1, а на другом – противовес 3. Шар 1 можно заряжать с помощью такого же проводящего шара 2.
Назовите закон, который был открыт с помощью подобной установки.
A) закон всемирного тяготения Ньютона
Б) закон Гука
В) закон Кулона
Г) закон сохранения электрического заряда
Д) закон сохранение энергии
8

Алиса изучала колебания пружинного маятника и по результатам эксперимента построила график зависимости квадрата периода T2 его колебаний от массы m (см. рис.). Используя график, определите жёсткость пружины k маятника.
A) 0,33 Н/м Б) 12 Н/м В) 60 Н/м Г) 120 Н/м Д) 240 Н/м
9

Ваня проводил эксперимент над идеальным газом, по результатам которого построил диаграмму состояния, однако забыл обозначить оси (см. рис.). Известно, что количество вещества в ходе эксперимента не изменялось, процесс 1 → 2 – изохорный, процесс 2 → 3 – изотермический. Определите процессы 3 → 4 и 4 → 1.
A) 3 → 4 – изобарный; 4 → 1 – изотермический
Б) 3 → 4 – изохорный; 4 → 1 – изобарный
В) 3 → 4 – изохорный; 4 → 1 – изотермический
Г) 3 → 4 – изотермический; 4 → 1 – изобарный
Д) 3 → 4 – изобарный; 4 → 1 – изохорный
10

Робик проводил эксперименты с движением частиц в магнитном поле. Он получил траекторию движения частицы (см. рис.), которая влетела в область магнитного поля (частица движется в плоскости рисунка). Магнитная индукция В поля направлена внутрь плоскости рисунка. Какая из перечисленных частиц может двигаться по такой траектории?
A) альфа-частица Б) нейтрон В) протон Г) фотон Д) электрон
11
Продолжая опыты с магнитными полями, Робик положил в горизонтальное однородное магнитном поле индукцией B = 25 мТл, перпендикулярно линиям индукции кусок провода длиной l = 50 см . Если к концам провода подсоединить источник тока, то при минимальном значении напряжения Umin = 30 мВ провод перестанет давить на опору. Используя таблицу, определите, из какого материала изготовлен провод.

A) алюминий Б) золото В) медь Г) серебро Д) сталь
12

Чепик поставил на весы три одинаковые ёмкости, уровень воды в которых одинаковый (см. рис.). Внутрь первой ёмкости он поместил воздушный шарик, который привязал ко дну. В третью ёмкость на тонкой бечёвке он опустил стальной шар, объём которого равен объёму воздушного шара. Выберите правильное соотношение показаний весов, если их обозначить как P1, P2, P3, соответственно.
A) P1 = P2 = P3
Б) P1 < P2 = P3
В) P1 < P2 < P3
Г) P1 < P3 < P2
Д) P1 = P2 < P3
13
Чепик посмотрел, как Ваня, при помощи магнитных опилок получал картину силовых линий полосового магнита, и сделал несколько рисунков. На каком рисунке Чепик не допустил ошибки?

A) на рисунке 1
Б) на рисунке 2
В) на рисунке 3
Г) на рисунке 4
Д) ошибки допущены на всех рисунках
14

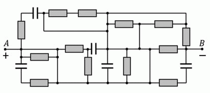
Когда Чепик решил заняться изучением электричества, Ваня дал ему очередное задание: определить сопротивление участка электрической цепи AB, изображённого на рисунке, если сопротивления всех резисторов одинаковы R1 = 10 Ом.
Помогите Чепику.
Примечание. Сопротивлением соединительных проводов можно пренебречь.
A) 5,0 Ом Б) 10 Ом В) 15 Ом Г) 20 Ом Д) 25 Ом
15
Продолжая заниматься изучением движения частиц, Робик попытался определить потенциальную энергию Ер взаимодействия протона и электрона в атоме водорода. Чему равно значение Ер, если электрон, вращаясь вокруг протона, имеет кинетическую энергию Еk?
A) 0,25 Еk
Б) 0,5 Еk
В) Еk
Г) 1,5 Еk
Д) 2 Еk
16
Чепик отклонил математический маятник длиной l = 90 см от положения равновесия на расстояние А = 3,0 см и отпустил. Помогите Чепику определить максимальную скорость vmax маятника.
A) 10 см/с Б) 15 см/с В) 20 см/с Г) 30 см/с Д) 2,7 см/с
17
Изучая колебания маятника Чепик совершенно забыл единицу измерения фазы колебаний в СИ. Помогите Чепику.
A) 1 вольт Б) 1 герц В) 1 радиан Г) 1 секунда Д) 1 фарад
18

Ваня нарисовал горизонтальную плоскость, на которой изобразил два положения одного и того же шарика. Какой пример равновесия демонстрирует рисунок Вани?
A) безразличного Б) возбуждённого В) неустойчивого Г) основного Д) уУстойчивого
19

Робик подарил Алисе на день рождения часы, на циферблат которых он поместил точечные электрические заряды (см. рис.), причем на нечетные числа отрицательные (светлые точки), а на четные – положительные (темные точки). Величина заряда пропорциональна числу на циферблате, рядом с которым находится заряд. Помогите Алисе рассчитать потенциал φ, созданный этими зарядами в точке крепления стрелок часов, если заряд, расположенный на единице, создаёт в данной точке потенциал φ1 = –1,0 B.
Примечание. Значение времени на часах носит иллюстративный характер.
A) 0,0 В Б) –1,0 В В) 6,0 В Г) –78 В Д) 78 В
20
В ясный солнечный день в полдень Ваня шёл по футбольному полю в сторону севера, а потом повернул на восток. Чепик спросил у Алисы:
– Как при движении Вани изменяется его тень?
– Если считать расстояние от головы Вани до поверхности Земли постоянным, а скорость его движения достаточно большой, то длина его тени …
Закончите фразу Алисы, если с точки зрения физики она не ошиблась.
A) всё время увеличивалась
Б) всё время уменьшалась
В) не изменялась
Г) вначале увеличивалась, а потом не изменялась
Д) вначале уменьшалась, а потом не изменялась
21
Разбирая обрушение Такомского моста в 1940 году Ваня и Алиса изучали старые документы. В одном из них указывалось, что причиной обрушения моста ошибочно считается… К сожалению, бумага была в очень плохом состоянии, поэтому дальше удалось разобрать только несколько слов: «резкого», «амплитуды», «внешней силы», «совпадают». О чем шла речь в документе?
A) о законе Гука
Б) о колебательной системе
В) о конвекции
Г) о резонансе
Д) о третьем законе Ньютона
22
Продолжая исследование магнитного поля, Робик изучал действие на изолированный проводник с током в магнитном поле силы Ампера FA. Подскажите Робику, как изменится сила Ампера, если проводник сложить пополам при той же силе токе?
A) увеличится в два раза
Б) не изменится
В) уменьшится в два раза
Г) уменьшится в четыре раза
Д) уменьшится до нуля
23
– В 2022 году первое Лунное затмение будет 16 мая, – объявила ребятам Алиса.
– Интересно, – задумчиво сказал Ваня, – солнечные затмения происходят примерно в полтора раза чаще, чем лунные. Но в Беларуси лунные затмения наблюдаются гораздо чаще солнечных. Почему?
A) Беларусь – страна с особым географическим положением
Б) в северных широтах Солнце светит меньше
В) Луна ближе к Земле, чем Солнце
Г) лунное затмение можно наблюдать с большей части земной поверхности, а солнечное – только в узкой полосе
Д) солнечные затмения часто происходят в пасмурные дни
24

Робик смастерил тёмный ящик для оптических опытов (см. рис.). Луч света попадает в ящик через отверстие так, как показано на рисунке. Верхняя, нижняя и левая стенки коробки зеркальные, а правая представляет собой экран, на котором расположены пять фотоэлементов (А, Б, В, Г, Д), которые срабатывают, если на них попадает свет. Внутри коробки расположены два двухсторонних зеркала Z1 и Z2 и собирающая линза L1, фокусное расстояние которой равно длине 2 клеточек.
Какой фотоэлемент сработает, после попадания луча в коробку?
A) А Б) Б В) В Г) Г Д) Д
25
Когда Чепик опустил в цилиндрический сосуд, наполненный водой, алюминиевую чашку, то уровень воды в сосуде повысился на ∆h1 = 16 см. Чепик хотел достать чашку, но нечаянно её утопил. Как при этом изменился уровень воды ∆h в сосуде?
A) уменьшится на 10 см
Б) уменьшится на 9,5 см
В) уменьшится на 6,7 см
Г) уменьшится на 6,0 см
Д) уровень воды не изменится
26

В теплоизолированном сосуде находится некоторая масса m1 воды при определенной температуре t0. Робик спрогнозировал (см. график), какая температура t установится в сосуде в зависимости от того, какую массу m2 льда (tЛ = 0°C) в него поместить. Определите начальную массу m1 воды.
A) 390 г Б) 330 г В) 290 г Г) 170 г Д) 130 г
27

Однажды Чепик, Алиса и Робик поняли, что их познания в теоретической физике на должном уровне и самое время заняться физикой экспериментальной. Они посчитали, что лучше начать с конструирования воздушных конденсаторов. Все использовали пластины квадратной формы, но изготовленные из разных металлов. Чепик использовал сталь, Алиса медь, а Робик алюминий. В каком соотношении находятся электроемкости конденсаторов, собранных ребятами, если их поперечные сечения изображены на рисунке?
A) СЧ = СА = СР
Б) СА > СЧ = СР
В) СЧ = СА > СР
Г) СР > СА > СЧ
Д) СА > СР > СЧ
28

Робик работал над созданием теплового двигателя. В цилиндрический сосуд он поместил одноатомный газ. Сверху сосуд закрыт, а снизу сосуда находится подвижный поршень толщиной d = 12,5 см, изготовленный из материала плотностью ρ = 8,0 г/см3. Помогите Робику рассчитать работу А, которую совершит газ при медленном нагревании, если его объем над поршнем увеличится на ∆V = 40 л.
A) 1,8 кДж Б) 2,4 кДж В) 3,2 кДж Г) 3,6 кДж Д) 4,0 кДж
29
Ваня решил спрыгнуть с тарзанки, длина которой в свободном состоянии l0 = 10 м, а жёсткость k = 360 Н/м. Какой максимальной скорости vmax он достиг во время прыжка, если масса Вани вместе со снаряжением m = 90 кг?
A) 14 м/с Б) 15 м/с В) 16 м/с Г) 18 м/с Д) 20 м/с
30

К лампочке в качестве источника тока подключен контур. Чепик поводил неодимовым магнитом около этого контура, а Робик построил зависимость магнитного потока, пронизывающего контур, от времени (см. график). Если лампочка работает, когда подаваемое на нее напряжение находится в диапазоне от Umin = 4,5 B до Umax = 7,5 B, то в течение какого промежутка времени ∆t она светилась?
A) 0 мс Б) 2 мс В) 3 мс Г) 4 мс Д) 11 мс