1
Частица движется по прямой. Первый метр пути частица прошла за 1,0 с, второй – за 2,0 с. За какое время частица прошла третий метр пути, если средняя скорость за три метра пути равна 0,50 м/с?
A) 1,0 с Б) 1,5 с В) 2,0 с Г) 2,5 с Д) 3,0 с
2

Муравьи тянут плоский кусок коры по горизонтальной поверхности. В некоторый момент времени модуль скорости точки А равен VA = 2,0 м/с. Чему равен модуль скорости точки В, если угол между векторами скоростей этих точек равен α = 60°? Вектор точки А направлен на точку В.
A) 0,0 м/с Б) 1,0 м/с В) 2,0 м/с Г) 3,0 м/с Д) 4,0 м/с
3
От основания башни высотой 40 м вертикально вверх бросают камень с начальной скоростью 20 м/с. Одновременно с вершины башни начинает падать другой камень. На какой высоте камни столкнутся? Сопротивление воздуха не учитывать.

A) 0 м Б) 5,0 м В) 10 с Г) 15 м Д) 20 м
4
На экваторе построена башня высотой 1 км. С вершины башни отпускают без начальной скорости камень. Из-за вращения Земли камень отклонится от основания башни …
A) к западу
Б) к востоку
В) к северу
Г) к югу
Д) не отклонится
5
Упругий шарик движется с постоянной скоростью v0 из точки А, сталкивается упруго с неподвижной стенкой и возвращается в точку А через время τ0. Через какое время вернется шарик в исходную точку А, если одновременно со стартом шарика стенка начнет двигаться навстречу шарику с такой же по модулю скоростью v0?

A) 1/2 τ0 Б) 1/3 τ0 В) 1/4 τ0 Г) 2/3 τ0 Д) 2/5 τ0
6
Брусок покоится на горизонтальной поверхности. На основании какого закона можно утверждать, что сила реакции поверхности равна силе тяжести бруска?

A) I закона Ньютона
Б) II закона Ньютона
В) закона Гука
Г) III закона Ньютона
Д) закона всемирного тяготения
7
При проведении конкурса этот вопрос не оценивался или правильными являются два варианта ответа.
Поэтому при тестовом выполнении он пропускается. При проверке своих ответов вы сможете посмотреть и пропущенный вопрос.
8
На горизонтальном столе лежат два одинаковых бруска, масса каждого из них равна m = 1,0 кг. Коэффициент трения брусков о поверхность стола равен μ = 0,20. Бруски связаны легкой недеформированной пружиной жесткости k = 2,0 Н/см. Какую минимальную постоянную горизонтально направленную силу необходимо приложить к одному из брусков, чтобы сдвинуть оба бруска с места?

A) 1,0 Н Б) 2,0 Н В) 3,0 Н Г) 4,0 Н Д) 6,0 Н
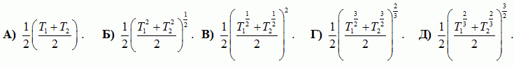
9

Наиболее экономичной траекторией полета на Марс является эллиптическая орбита, касательная, как к орбите Земли, так и к орбите Марса. Период вращения Земли вокруг Солнца равен Т1, период вращения Марса Т2. Орбиты Земли и Марса можно считать круговыми. Чему равна длительность полета на Марс по этой траектории?

10
Пружина с грузом подвешена к потолку неподвижного лифта. Удлинение пружины при этом оказалось равным 2,0 см. Чему будет равно максимальное удлинение пружины, если лифт начнет подниматься с постоянным ускорением 5,0 м/с2?

A) 0,0 см Б) 1,0 см В) 2,0 см Г) 3,0 см Д) 4,0 см
11
Один моль газа при, нормальных условиях занимает объем 22,4 л. Чему равно среднее расстояние между молекулами газа? Постоянная Авогадро NA = 6,02∙1023 моль–1.

A) 3,3∙10–10 м
Б) 3,3∙10–9 м
В) 6,6∙10–10 м
Г) 6,6∙10–9 м
Д) 3,3∙10–8 м
12
Один моль идеального одноатомного газа совершает процесс, в котором давление газа пропорционально его объему. Чему равна теплоемкость этого газа? R – универсальная газовая постоянная.

A) C = 3/2 R
Б) C = 5/2 R
В) C = 2 R
Г) C = 7/2 R
Д) C = 3 R
13
Турбины геотермальной электростанции, используют в качестве источника энергии водяной пар при температуре 350 °C. После прохождения турбин давление пара падает до атмосферного и он конденсируется. Чему равен максимально возможный КПД такой электростанции?
A) 71% Б) 60% В) 50% Г) 40% Д) 29%
14
Какую массу льда может растопить 1,0 тонна водяного пара, выбрасываемого гейзером? Считайте, что на плавление льда, находящегося при температуре 0,0 °C, расходуется вся теплота, выделяющаяся при конденсации и остывании водяного пара, находящегося при температуре 100 °C.
A) 8,5 т Б) 7,9 т В) 6,7 т Г) 1,3 т Д) 0,73 т
15
На сколько процентов может увеличиться масса айсберга в процессе плавания, если его начальная температура равна –10 °C?

A) 5,6% Б) 6,4% В) 16% Г) 25% Д) 100%
16

В системе СГСЭ единица электрического заряда (1 ед. зар. СГСЭ) определяется следующим образом: два одинаковых точечных заряженных тела, несущих заряды по 1 ед. зар. СГСЭ, находящихся на расстоянии 1 см в вакууме, взаимодействуют с силой 1 дина. Сила в 1 дину, действующая на тело массы 1 г, сообщает ему ускорение 1 см/с2. Сколько единиц заряда СГСЭ содержится в 1 Кулоне?
A) 3,0∙108
Б) 3,0∙109
В) 3,0∙1010
Г) 3,0∙1012
Д) 3,0∙1015
17
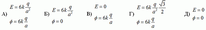
Шесть одинаковых точечных зарядов +q находятся в вершинах правильного шестиугольника со стороной a. Чему равны модуль напряженности E и потенциал φ электростатического поля в центре шестиугольника?


18
Точечный заряд находится на расстоянии r от заземленной проводящей сферы. При расстояниях r значительно превышающих радиус сферы, сила взаимодействия заряда и сферы пропорциональна r–n. Чему равен показатель степени n?

A) n = 2 Б) n = 3 В) n = 4 Г) n = 5 Д) n = 6
19
Точечный заряд находится на расстоянии r от незаряженной незаземленной проводящей сферы. При расстояниях r значительно превышающих радиус сферы, сила взаимодействия заряда и сферы пропорциональна r–n. Чему равен показатель степени n?

A) n = 2 Б) n = 3 В) n = 4 Г) n = 5 Д) n = 6
20
Длина маятника маятниковых часов увеличилась на 0,20%. На сколько будут ошибаться часы за сутки?
A) опаздывать на 1,4 минуты
Б) спешить на 1,4 минуты
В) опаздывать на 2,9 минуты
Г) спешить на 2,9 минуты
Д) идти точно
21
Участок цепи, показанный на рисунке, подключен к источнику тока. Показания вольтметра 1 U1 = 3,0 B. Какое напряжение показывает вольтметр 2?

A) 0,0 В Б) 0,5 В В) 1,0 В Г) 2,0 В Д) 3,0 В
22
Выразите единицу измерения магнитного потока в системе СИ через основные единицы этой системы.

A) Вб = В∙с
Б) Вб = ДжА
В) Вб = кг∙м2A∙c2
Г) Вб = Тл∙м2
Д) Вб = кг∙мA∙c2
23

Колебательный контур во входной цепи радиоприемника имеет емкость C = 10 пФ и индуктивность L = 10 мкГн. На какую длину волны настроен приемник?
A) 190 м Б) 19 м В) 3,0 м Г) 30 м Д) 38 м
24
Частота колебаний свободной струны равна 440 Гц. Чему будет равна частота колебаний струны, если длину колеблющейся части уменьшить на 20,0%? Сила натяжения струны остается неизменной.
A) 352 Гц Б) 528 Гц В) 489 Гц Г) 550 Гц Д) 366 Гц
25
С какой частотой надо раскачивать качели длиной 10 м, чтобы амплитуда их колебаний была максимальна?
A) 1,0 Гц Б) 0,16 Гц В) 2,0 Гц Г) 0,32 Гц Д) 0,64 Гц
26
Линза изготовлена из стекла с показателем преломления 1,66. Фокусное расстояние линзы в воздухе равно 20 см. Чему равно фокусное расстояние этой же линзы, помещенной в воду, показатель преломления которой 1,33?
A) 25 см Б) 7,5 см В) 16 см Г) 20 см Д) 53 см
27
Каким оптическим явлением обусловлен голубой цвет неба?
A) поглощением света
Б) рассеянием света
В) излучением света
Г) преломлением света
Д) отражением света
28
Теплым летним утром на сухой асфальтовой дороге можно увидеть мираж в виде луж. Каким оптическим явлением объясняется этот мираж?
A) поглощением света
Б) рассеянием света
В) интерференцией света
Г) преломлением света
Д) дифракцией света
29

Для чего запускают телескопы в космос?
A) чтобы приблизиться к звездам и галактикам
Б) чтобы исключить поглощение света в атмосфере
В) чтобы исключить влияние оптических неоднородностей в атмосфере
Г) чтобы не мешал солнечный свет
Д) чтобы вращение Земли не сбивало настройку
30

Почему электронные микроскопы имеют большую разрешающую способность, чем оптические?
A) потому, что электроны имеют меньшую длину волны
Б) потому, что электроны глубже проникают в вещество
В) потому, что электроны несут электрический заряд
Г) потому, что электроны легче регистрировать
Д) потому, что радиус электрона равен нулю