1
Каким из перечисленных способов можно получить тень без полутени?
A) использовать большую лампу в виде белого светящегося шара
Б) поставить рядом с источником света зеркало
В) использовать два источника рассеянного света
Г) взять очень маленький источник света
Д) поставить позади источника света рассеивающую линзу
2
Белая бумага отражает до 80% падающего на неё излучения, а поверхность зеркала – от 70 до 90%. Бумага не используется для получения зеркальных изображений, потому что…
A) отражение от бумаги является диффузным
Б) бумага сильно нагревается от падающего света
В) глаз человека не воспринимает свет, отражённый от бумаги
Г) бумага не может построить отражение без искажений
Д) бумага легко воспламеняема и не может использоваться в производстве
3
Как изменится температура в герметичной комнате, если открыть надолго дверцу холодильника?
A) будет всё время понижаться
Б) сначала понизится, а после повысится
В) будет всё время повышаться
Г) сначала повысится, а потом будет понижаться
Д) будет неизменной всё время
4
Точка, совершающая гармонические колебания, проходит за два полных колебания путь в l = 100 см. Амплитуда А колебаний точки равна…
A) 50,0 см Б) 1,25 см В) 25,0 см Г) 12,5 см Д) 6,30 см
5
Плоский конденсатор зарядили в воздухе до разности потенциалов U0 = 10 В, отключили от источника, а затем погрузили в керосин, диэлектрическая проницаемость которого в 2 раза больше, чем диэлектрическая проницаемость воздуха. При этом разность потенциалов U на пластинах конденсатора будет равна…
A) 10 В Б) 20 В В) 5 В Г) 2,5 В Д) 1,0 В
6
Определите модуль силы F, действующей со стороны магнитного поля, модуль индукции которого В = 0,10 Тл, на проводник длиной l = 0,30 м, по которому протекает ток I = 5,0 А. Направление тока в проводнике составляет с индукцией магнитного поля угол α = 120°.
A) 0,075 H Б) 0,10 H В) 0,11 H Г) 0,12 H Д) 0,13 H
7
На сколько угловых минут поворачивается Земля вокруг своей оси за одну минуту урока?
A) 1′ Б) 2′ В) 10′ Г) 15′ Д) 20′
8
Камень, брошенный по льду со скоростью v = 5 м/с, останавливается на расстоянии L = 25 м от места бросания. Путь s, пройденный камнем, за первые t = 2,0 с движения составляет…
A) 9,0 м Б) 3,0 м В) 4,5 м Г) 12 м Д) 10 м
9
Приёмный контур прибора состоит из катушки с индуктивностью L = 4,00 мкГн и конденсатора с ёмкостью С = 100 пФ. Контур лучше всего реагирует на электромагнитную волну, длина λ которой равна…
A) 18,8 м Б) 37,7 м В) 75,4 м Г) 60,0 м Д) 88,4 м
10
Мяч брошен вертикально вверх с высоты Н = 5 м. Определить скорость падения мяча при ударе о землю, если длина пути S = 7H. Сопротивлением воздуха пренебречь.
A) 16 м/с Б) 18 м/с В) 20 м/с Г) 22 м/с Д) 24 м/с
11
Вагон массой m1 = 50 т движется со скоростью v = 12 км/ч и встречает стоящую на пути платформу массой m2 = 30 т. Найдите расстояние s, пройденное вагоном и платформой после сцепления, если коэффициент трения μ = 0,050.
A) 2,1 м Б) 3,2 м В) 5,6 м Г) 4,3 м Д) 8,3 м
12
Во сколько раз период обращения спутника, движущегося на расстоянии h1 = 21600 км от поверхности Земли, больше периода обращения спутника, движущегося на расстоянии h2 = 600 км от её поверхности? Радиус Земли RЗ = 6400 км.
A) 4,0 Б) 8,0 В) 2,0 Г) 16 Д) 2,8
13
Какие из процессов изображённого на рисунке цикла протекали с поглощением тепла газом?

A) 1–2, 4–1
Б) 1–2, 2–3
В) 2–3, 4–1
Г) 3–4, 4–1
Д) 1–2, 3–4
14
Два одинаковых сосуда, содержащих одинаковое число молекул азота, соединены краном. В первом сосуде средняя квадратичная скорость молекул ‹vкв1› = 400 м/с, во втором – ‹vкв2› = 500 м/с. Какая установится скорость v, если открыть кран, соединяющий сосуды?
A) 447 м/с Б) 450 м/с В) 441 м/с Г) 453 м/с Д) 459 м/с
15
Два точечных заряда q и –9q находятся на расстоянии l друг от друга. На каком расстоянии от заряда –9q нужно поместить точечный заряд 2q, чтобы он находился в равновесии?

16
Два электрона с различными кинетическими энергиями Ек1 и 9Ек1 движутся по окружностям в однородном магнитном поле в плоскости, перпендикулярной линиям индукции. Отношение их периодов вращения
равно…

17
Какова напряжённость электрического поля в центре тонкого кольца радиусом R = 10 см, по которому равномерно распределён заряд q = 20·10–6 Кл?
A) 4·10–4 В/м Б) 2·10–6 В/м В) 2·10–4 В/м Г) 2·10–3 В/м Д) 0 В/м
18
Четыре лампы, рассчитанные на напряжение U = 120 В и силу тока I = 0,50 А каждая, включены параллельно. Лампы нужно питать от сети напряжением Un = 220 В. Какое сопротивление R нужно включить дополнительно, чтобы схема работала?
A) 25 Ом Б) 50 Ом В) 75 Ом Г) 100 Ом Д) 200 Ом
19
Длину проволоки вытягиванием увеличили вдвое. Как изменилось её сопротивление?
A) уменьшилось вдвое
Б) не изменилось
В) увеличилось вдвое
Г) увеличилось в 4 раза
Д) увеличилось в 8 раз
20
В магнитном поле с индукцией В = 0,50 Тл перемещается проводник длиной l = 0,80 м под углом α = 30° к линиям магнитной индукции. ЭДС индукции εi, которая возбуждается в проводнике, равна 1 В. Скорость v перемещения проводника в магнитном поле равна…
A) 1 м/с Б) 3 м/с В) 5 м/с Г) 7 м/с Д) 9 м/с
21
Два математических маятника начинают колебаться одновременно. За одно и то же время первый маятник совершает N1 = 16, а второй – N2 = 8 колебаний. Найдите отношение длин маятников 
A) 0,5 Б) 2 В) 3 Г) 4 Д) 5
22
Точка совершает гармонические колебания между положениями A и B. Зная, что максимальная скорость точки равна 12,56 м/с, найдите среднюю скорость на пути от A к B.
A) 8 м/с Б) 9 м/с В) 10 м/с Г) 11 м/с Д) 12,56 м/с
23
Груз совершает колебания на резиновом шнуре. Во сколько раз изменится период вертикальных колебаний груза, если его подвесить на том же шнуре, сложенном вдвое?
A) уменьшится в 2 раза
Б) уменьшится в √2 раз
В) не изменится
Г) увеличится в √2 раз
Д) увеличится в 2 раза
24
Мяч, летящий со скоростью v, ударяется в движущийся ему навстречу со скоростью u массивный щит. Какой станет скорость мяча после абсолютно упругого удара?
A) v Б) u В) u + v Г) v + 2u Д) u + 2v
25
Студент и школьница бегут в одном направлении по окружности радиусом 50 м с постоянными скоростями, причём скорость студента на 24% больше скорости школьницы. Студент обогнал школьницу сначала в точке А, а следующий раз – в точке В. Определите длину отрезка АВ.
A) 43 м Б) 50 м В) 71 м Г) 87 м Д) 100 м
26
Во сколько раз должна измениться мощность насоса, чтобы он в единицу времени стал перегонять через узкое отверстие вдвое большее количество воды?
A) 2 Б) 2√2 В) 4 Г) 4√2 Д) 8
27
Плоский конденсатор имеет ёмкость C. На одну из пластин конденсатора поместили заряд +q, а на другую +4q. Определите разность потенциалов между пластинами конденсатора.

28
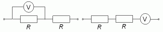
Каково сопротивление R каждого из двух одинаковых резисторов, если вольтметр сопротивлением RV = 4 кОм при двух различных включениях в схему показывает одинаковое напряжение? Напряжение в цепи в обоих случаях одно и то же.

A) 4 кОм Б) 5 кОм В) 6 кОм Г) 7 кОм Д) 8 кОм
29
Каким станет сопротивление цепи, состоящей из пяти одинаковых проводников сопротивлением r каждый, если добавить два таких же проводника, как показано штриховыми отрезками на рисунке?

A) r Б) 2r В) 3r Г) 4r Д) 5r
30
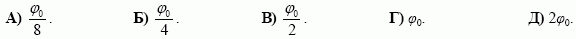
Четыре одинаковых тонких непроводящих стержня равномерно (с постоянной линейной плотностью) заряжены одноименными зарядами. Стержни укладывают в форме квадрата. При этом в центре квадрата образовался потенциал φ0. Какой потенциал φ будет в вершине квадрата, если из него убрать два стержня, смежных с этой вершиной.

