1

Для измерения какой физической величины предназначен прибор, изображённый на фотографии?
A) атмосферного давления
Б) влажности воздуха
В) географической координаты
Г) промежутка времени
Д) температуры
2
В каких единицах нельзя выразить энергию?
A) в ваттах
Б) в джоулях
В) в калориях
Г) в киловатт-часах
Д) в электрон-вольтах
3
Буквой «e» в электростатике принято обозначать …
A) заряд α-частицы
Б) заряд электрона
В) напряженность электростатического поля
Г) электрический заряд
Д) элементарный заряд
4
Алиса, Ваня, Робик и Чёпик получили таинственное послание с шифровкой. Для того, чтобы с ним разобраться, необходимо заполнить кроссворд, ответив на следующие вопросы:
1) максимальное смещение тела от положения устойчивого равновесия;
2) явление огибания волнами препятствий, которое проявляется в отклонении направления распространения волн от прямолинейного;
3) степень слышимости звука.

Заполнив ячейки, необходимо по цифрам определить зашифрованное слово. Однако послание попало под дождь и цифры стёрлись. Помогите ребятам и среди предложенных слов укажите зашифрованное.
A) дисперсия Б) мобильник В) постулат Г) радиоволна Д) фотон
5
Ваня изучал неизвестное физическое явление. В ходе исследования, он измерил существенные параметры: α = 0,12 Тл и β = 2,5 см. В результате вычислений Ваня получил новую физическую величину с единицей измерения [X]=Вб. Определите численное значение X этой величины, если при расчётах Ваня не применял действия сложения и вычитания, а также не использовал никакие другие значения.
A) 7,5∙10-5 Вб
Б) 3,0∙10-3 Вб
В) 0,15 Вб
Г) 4,8 Вб
Д) 1,9∙102 Вб
6

Тело движется равноускоренно. Обозначения на рисунке: v0 – начальная скорость тела, a – его ускорение, t – время движения. Какую величину обозначает вектор х, являющийся медианой треугольника?
A) импульс тела
Б) конечную скорость тела
В) перемещение тела
Г) силу, действующую на тело
Д) среднюю скорость тела
7

Дистанция представляет собой два участка. Первый участок длиной L – прямолинейный. Второй представляет собой полуокружность радиуса R = 6,4 м (см. рис.). Тело начало движение из состояния покоя с постоянным ускорением, но достигнув начала второго участка (точка A), тело прошло его не изменяя скорости. Определите расстояние L, при котором на преодоление всей дистанции будет затрачено минимальное время.
A) 5,0 м Б) 10 м В) 15 м Г) 20 м Д) 25 м
8

Ваня наводил порядок в гараже. Он пристроил трубу массой m = 26 кг так, что один её конец упирался в угол гаража, а другой закрепил верёвкой к стене. При этом верёвка натянулась горизонтально, а труба расположилась под углом α=60° к горизонтальному полу (см. рис.). Определите модуль силы натяжения F верёвки.
A) 75 Н Б) 130 Н В) 190 Н Г) 230 Н Д) 260 Н
9
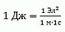
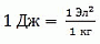
– Почти у всех величин есть своя единица измерения, а вот импульс определяется сразу через три единицы измерения: секунду, метр и килограмм, – пожаловалась Чёпику Алиса.
– Алиса, ты крутая девчонка, – решил Чёпик. – Давай в честь тебя назовём единицу измерения импульса: элис (Эл).
– Это интересно, – шутливо согласилась Алиса. – Тогда выбери, какой из пяти вариантов позволяет выразить 1 Дж через 1 Эл (джоуль через элис).
Подскажите Чёпику правильный ответ.
A) 
Б) 
В) 1 Дж = 1 Эл
Г) Дж = 1 кг ∙ 1 с ∙ 1 Эл2
Д) 1 Дж = 1 кг ∙ 1 м ∙ 1 Эл2
10

На рисунке изображены три алюминиевых кубика. Для модулей скорости звука v в них справедливо соотношение …
A) v1 > v2 > v3
Б) v3 > v2 > v1
В) v1 = v2 > v3
Г) v1 = v2 < v3
Д) v1 = v2 = v3
11
Напряженность электрического поля внутри плоского воздушного конденсатора E = 1,0 кВ/м, а заряд на обкладке конденсатора q = 0,20 нКл. Определите силу F, действующую на каждую из пластин конденсатора.
A) 50 нН Б) 0,10 мкН В) 0,20 мкН Г) 0,40 мкН Д) 0,80 мкН
12

Алиса собрала электрическую схему (см. рис.) и попросила Ваню помочь с расчётом её сопротивления Rсх. Помогите Ване, если сопротивления всех резисторов одинаковы R = 12 Ом.
Примечание. Сопротивлением соединительных проводов можно пренебречь.
A) 0 Ом Б) 6,0 Ом В) 24 Ом Г) 27 Ом Д) 28 Ом
13
Для определения направления силы Ампера используют …
A) амперметр
Б) динамометр
В) закон костяной ноги
Г) правило левой руки
Д) правило правой руки
14

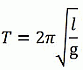
– А что делает этот человек на рисунке, – спросил Ваня у Алисы.
– Это голландский учёный, который изобрёл первую модель часов с маятником. – ответила Алиса.
– Точно, ещё он вывел формулу

Так кто же изображён на рисунке?
A) Генрих Герц
Б) Роберт Гук
В) Христиан Гюйгенс
Г) Иоганн Кеплер
Д) Исаак Ньютон
15
Чёпик прочёл условие задачи, которую Ване задали на дом: «На вертикальную пружину с коэффициентом жёсткости k падает металлический прямоугольный брусок с площадью основания S и длиной l. Определите промежуток времени Δt, за который произойдёт максимальное сжатие пружины, если плотность металла ρ».
Чёпик не сразу разобрался с условием, поэтому уточнил у Вани: «А что требуется найти в задаче?».
Помогите Ване ответить на вопрос Чёпика.
A) коэффициент жёсткости пружины k
Б) площадь поперечного сечения бруска S
В) длину бруска l
Г) промежуток времени Δt, за который произошло сжатие пружины
Д) плотность металла ρ, из которого изготовлен брусок
16

Квадратная рамка, изготовленная из проволоки длиной l = 40 см, имеет сопротивление R = 25 мОм и замкнута на амперметр. Рамку перемещают с постоянной скоростью, модуль которой v = 1,0 м/с, в однородном магнитном поле, модуль индукции которого B = 40 мТл (см. рис.). Определите силу тока I, которую показывает амперметр, если силовые линии магнитного поля перпендикулярны плоскости рамки.
A) 0,0 мА Б) 8,0 мА В) 16 мА Г) 32 мА Д) 64 мА
17
Материальная точка совершает колебания, амплитуда которых A = 20 см. Определите модуль перемещения ∆r точки через промежуток времени, равный половине периода колебаний (∆t = 0,5T), если в начальный момент времени она находилась в положении равновесия.
A) 0 см Б) 20 см В) 40 см Г) 60 см Д) 80 см
18
Математический маятник отклонили от вертикали на угол α=10° и отпустили. Определите модуль максимальной скорости vmax маятника, если период возникших колебаний T = 0,72 с.
Примечание. Для малых углов выраженных в радианах справедливо соотношение: sinα ≈ α, а cosα ≈ 1 - α2/2.
A) 5,0 см/с Б) 10 см/с В) 15 см/с Г) 20 см/с Д) 25 см/с
19

Чаша выполнена в форме части сферы (сферического сегмента) радиусом R = 1,0 м (см. рис.). Внутренняя поверхность чаши гладкая. На расстоянии x = 4,0 см от нижней точки положили небольшую шайбу и отпустили. Определите промежуток времени ∆t, через который шайба достигнет нижней точки чаши.
A) 0,10 с Б) 0,20 с В) 0,30 с Г) 0,40 с Д) 0,50 с
20

Алиса составила для Вани ребус по теме «Электромагнитные колебания и волны» (см. рис.). Какое слово она зашифровала?
A) когерентность Б) колебания В) конденсатор Г) константа Д) контур
21

Алиса в кабинете физики изучала колебания груза. По результатам исследования она построила график зависимости координаты x груза от времени t (см. рис.) и показала его ребятам.
– А чему равна в опыте длина нити? – спросил Чёпик.
Что на это ответила Алиса?
A) 69 см
Б) 1,4 м
В) 2,8 м
Г) 3,5 м
Д) Какая нить? Я исследовала пружинный маятник.
22

В LC-контуре происходят электромагнитные колебания. На рисунке изображён график изменения электрического заряда на обкладке конденсатора от времени q(t). Выполняется ли при этом закон сохранения электрического заряда в контуре?
A) выполняется
Б) выполняется, только если колебания незатухающие
В) выполняется только в моменты максимальной зарядки конденсатора
Г) выполняется только при отсутствии тепловых потерь
Д) не выполняется
23

Робик, находясь на некоторой планете, проводил экспериментальные исследования с математическим маятником. Он измерял период T колебаний в зависимости от длины l нити. Результаты исследования представлены на рисунке в виде графика. Из предложенных выводов, которые можно сделать исходя из полученных результатов, выберите неверный.
A) максимальная длина нити маятника была l = 1,0 м
Б) длины нити маятника хватит Робику, чтобы собрать маятник с периодом колебаний T = 3,0 с
В) Робик произвёл не менее N = 10 измерений
Г) эксперимент проводился на планете Земля
Д) если длина нити маятника больше l = 5,0 дм, то период его колебаний больше T = 3,0 с
24
Идеальную катушку индуктивностью L = 20 мГн подключили к источнику тока с ЭДС ℰ = 12 В. Определите промежуток времени ∆t, через который сила тока в катушке достигнет значения I = 30 А.
A) 10 мс Б) 20 мс В) 30 мс Г) 40 мс Д) 50 мс
25

На рисунке изображено условное обозначение некоторого физического прибора. А что это за прибор?
A) диод
Б) источник тока
В) катушка индуктивности
Г) транзистор
Д) трансформатор
26
Брусок равномерно скользит с наклонной поверхности со скоростью, модуль которой v1 = 2,4 м/с. Если угол наклона уменьшить вдвое, то чему будет равен модуль скорости v2 бруска?
A) 0 м/с Б) 1,2 м/с В) 1,7 м/с Г) 2,4 м/с Д) 4,8 м/с
27
Алиса и Ваня решали следующую задачу: «В небольшое отверстие в шаре, внутренняя поверхность которого зеркальная, попадает лазерный луч. Определите угол α между падающим и вышедшим из шара лучами, если перед тем, как выйти из шара, луч четыре раза отразился от его внутренней поверхности». Несмотря на то, что ребята не допустили ошибок, полученные ими значения отличались. Определите расхождение ∆φ в ответах ребят.
A) 9,0° Б) 18° В) 36° Г) 54° Д) 72°
28

Ваня нарисовал луч, проходящий через оптическую систему, состоящую из линзы и зеркала, в масштабе 1 клеточка 10 см. Однако, ему срочно понадобилось поиграть, поэтому он бросил рисунки незаконченными. Определите модуль фокусного расстояния F линзы.
Примечание. Луч распространяется в плоскости рисунка из точки A в точку B. Плоскости зеркала и линзы перпендикулярны плоскости рисунка.
A) 5,0 см Б) 10 см В) 15 см Г) 20 см Д) 30 см
29
Алиса рассказывала Ване как отвечала на уроке. Чёпик, который занимался любимым делом, услышал несколько слов: «устойчивой», «максимумов и минимумов», «сложении», «волн». Тогда он отложил бутерброд в сторону и спросил, о чём идёт речь. Но ребята уже убежали на улицу. Подскажите Чёпику, определение какого физического явления рассказывала Алиса.
A) дифракция
Б) дисперсия
В) интерференция
Г) когерентность
Д) преломление света
30
– Крот овце, жирафу, зайке голубые сшил фуфайки! – заявила Алиса.
– В детский сад на утренник собираешься? – язвительно спросил Ваня.
– Нет, это шифровка! – парировала Алиса.
Помогите Ване разобраться, что «зашифровала» Алиса.
A) основные цвета спектра
Б) таблицу Менделеева
В) теорию струн
Г) физические постоянные
Д) явление электромагнитной индукции