1

Чепик обнаружил интересную фотографию в Интернете (см. рис.).
– Что это такое? – спросил он у Вани.
– Это устройство было создано в 2004 году по случаю включения Венгрии в Европейский Союз, – ответил Ваня.
А какую физическую величину можно измерить с его помощью?
A) атмосферное давление
Б) влажность воздуха
В) массу
Г) промежуток времени
Д) температуру
2
Ваня бросил мячик массой m = 200 г под углом α = 45° к горизонту с начальной скоростью v0 = 10 м/с. Помогите Ване определить вес тела Р в верхней точке траектории. Силой сопротивления воздуха можно пренебречь.
A) 2,0 Н Б) 10 Н В) 15 Н Г) 20 Н Д) 0,0 Н
3

Робик нашел в Интернете редкую фотографию, на которой изображён французский учёный-физик (см. рис.), имя которого обычно ассоциируется с уравнением состояния идеального газа: pV = νRT.
Интересно, что он больше десяти лет служил в Петербурге, удостоился многих наград и даже получил звание полковника. Назовите имя этого учёного.
A) Бенуа Клапейрон
Б) Дмитрий Менделеев
В) Жозеф Луи Гей Люссак
Г) Роберт Бойль
Д) Эдм Мариотт
4
Алиса бросила вверх стальной шарик массой m. Когда шарик достиг верхней точки, Алиса с такой же начальной скоростью бросила вверх другой шарик массой 2m. Во сколько раз k ускорение a1 первого шарика отличается от ускорения a2 второго шарика в тот момент, когда шарики пролетают мимо друг друга.
Примечание. Силами сопротивления воздуха можно пренебречь.
A) в 0,25 раза
Б) в 0,5 раза
В) ускорения шариков равны
Г) в 2 раза
Д) в 4 раза
5
Ребята наблюдали, как Робик испытывал новый электромобиль на трассе, которая представляет собой окружность.
– Так как электромобиль движется по окружности, – решил блеснуть знаниями Чепик, – у него есть центростремительное ускорение.
– Тогда скажи, – спросила Алиса, – какая сила придает ему это ускорение?
A) сила трения покоя
Б) сила трения скольжения
В) сила тяги
Г) сила тяжести
Д) сила упругости
6

Алиса, Ваня и Робик потянули одновременно гирю массой m = 2,0 кг с силами F1, F2 и F3, направления и модули которых показаны на рисунке. Определите модуль ускорения a гири в этот момент, если F2y = 10 H.
A) 10 м/с2
Б) 6,0 м/с2
В) 5,0 м/с2
Г) 3,0 м/с2
Д) 0,0 м/с2
7
Ваня, проводя измерения, отметил, что начальная температура тела Т0 = 500 К. Неожиданно его позвали к телефону, и он попросил Алису провести дальнейшие измерения. Через некоторое время Алиса сообщила, что тело остыло на ∆t = 200°С. Помогите Ване определить конечную температуру Т тела.
A) 27 К Б) 27°С В) 127°С Г) 227 К Д) 300°С
8

Ваня и Чепик сделали четыре воздушных шара одинакового объёма и одинаковой массы. В таблице указаны материалы, из которых изготовлены оболочки шаров. Наблюдая, как шары поднимаются вверх, Чепик спросил у Вани: «Какой шар достигнет большей высоты?». Помогите Ване ответить правильно.
A) 1
Б) 2
В) 3
Г) 4
Д) все шары поднимутся на одинаковую высоту
9

Листая учебник физики 10-го класса, Чепик обнаружил рисунок, на котором изображена интересная экспериментальная установка (см. рис.). Дальше шло описание её работы. Манометр 1 регистрирует давление газа внутри сосуда. Объём газа в сосуде можно рассчитать, используя линейку 2. Вращая винт 3, изменяют вместимость сосуда.
Назовите уравнение, которое можно проверить с помощью данной установки.
A) основное уравнение молекулярно-кинетической теории
Б) уравнение второго закона Ньютона
В) уравнение равноускоренного движения
Г) уравнение состояния идеального газа
Д) уравнение теплового баланса
10
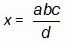
Алиса и Чепик нашли записку, в которой зашифрована некоторая физическая формула.
, где a – количество вещества, b – газовая постоянная, c – температура вещества, d – объём вещества. Какая физическая величина обозначена через x?
A) давление
Б) кинетическая энергия
В) масса
Г) молярная масса
Д) скорость
11

Ваня проводил эксперимент над идеальным газом, по результатам которого построил диаграмму состояния, однако забыл обозначить оси. Известно, что количество вещества в ходе эксперимента не изменялось, процесс 1 → 2 – изохорный, процесс 2 → 3 – изобарный. Определите процессы 3 → 4 и 4 → 1.
A) 3 → 4 – изобарный; 4 → 1 – изотермический
Б) 3 → 4 – изохорный; 4 → 1 – изобарный
В) 3 → 4 – изохорный; 4 → 1 – изотермический
Г) 3 → 4 – изотермический; 4 → 1 – изобарный
Д) 3 → 4 – изотермический; 4 → 1 – изохорный
12
Алиса и Ваня нашли записку, в которой давалось определение некоторого понятия. Однако почерк был настолько неразборчив, что ребята сумели понять только несколько слов: «состояние», «параметры», «неизменными», «времени». О чём шла речь в записке?
A) влажность воздуха
Б) внутренняя энергия
В) идеальный газ
Г) тепловое равновесие
Д) электростатическое поле
13

Когда Ваня и Алиса узнали, что Робик и Чепик планируют принять участие в игре-конкурсе Зубрёнок-2022, то для проверки их интеллектуальных способностей решили отправить им тайное послание (см. табл.). Для его расшифровки необходимо заполнить все клетки таблицы, ответив на три вопроса. Номера вопросов Ваня специально запутал. Помогите ребятам узнать зашифрованное слово.
1. Линия, изображающая на диаграмме процесс, происходящий при постоянном давлении.
2. Французский учёный, именем которого названа единица измерения давления в СИ.
3. Учёный, английский лорд, именем которого названа единица измерения абсолютной температуры в СИ.
A) Липа Б) Лиса В) Охра Г) Сало Д) Сила
14

Проверяя, как Ваня усвоил тему, Алиса начертила для него график зависимости температуры T идеального газа от среднего значения квадрата скорости v2 движения его молекул (см. рис.). Помогите Ване с помощью графика определить молярную массу М газа.
A) 2 г/моль
Б) 4 г/моль
В) 7 г/моль
Г) 14 г/моль
Д) 28 г/моль
15
В глубокой ванне (h > 1,0 м) лежала длинная алюминиевая цепочка, поперечным сечением S = 20 мм2, прикреплённая одним концом к пробке на дне. Когда Ване понадобилось набрать воду в ванну, он прикрепил к другому концу цепочки поплавок массой m1 = 33 г и объёмом V1 = 50 см3, чтобы пробку было легче достать. Но когда вода наполнила ванну, он с удивлением обнаружил, что поплавок не достаёт до поверхности воды. Определите, на каком максимальном расстоянии hmax от дна может находиться поплавок.
A) 10 см Б) 20 см В) 33 см Г) 50 см Д) 1,0 м
16

Алиса и Ваня совершали пробежку, а Чепик учился строить графики зависимости координаты x от времени t (см. рис.). Он расположился на беговой дорожке и принял себя за начало отсчёта. Начальное положение Алисы Чепик обозначил как x0A, а Вани – x0B. Он зафиксировал, что Алиса (А) и Ваня (В) встретились через ∆t = 24 c после начала отсчёта времени на расстоянии L = 45 м от Чепика, однако забыл на графиках указать единицы измерения осей. Несмотря на это, Алиса, взглянув на графики, смогла посчитать свою скорость vA. Какой ответ она получила, если не допустила ошибки?
A) 2,5 м/с Б) 3,0 м/с В) 3,5 м/с Г) 4,0 м/с Д) 4,5 м/с
17
Алиса и Ваня поселились в гостинице, причем номер Вани находился в два раза выше над поверхностью Земли, чем номер Алисы. Утром они вышли на балконы своих номеров, и увидели друг друга. Оказалось, что их номера располагались на одной вертикали. Алиса бросила Ване конфетку. В тот же момент времени, Ваня бросил Алисе конфетку с такой же скоростью. К сожалению, они не смогли поймать конфетки, поэтому те полетели, ничего не задев, и упали на землю одновременно через ∆t = 3,0 c после броска. Определите, не учитывая силы сопротивления, начальную скорость v0, с которой были брошены конфетки.
A) 5,0 м/с Б) 10 м/с В) 15 м/с Г) 20 м/с Д) 25 м/с
18

Из угла стадиона прямоугольной формы с размерами a = 45 м на b = 10 м (см. рис.) вдоль большей стороны с интервалом в ∆t0 = 10 с выходят Алиса и Чепик, причем они движутся с равными по модулю скоростями vA = vЧ = 2,0 м/с. Через какой наименьший промежуток времени ∆t расстояние между ними будет минимальным, если свое движение они осуществляют по периметру стадиона (отсчет времени начинается после того, как выходит Чепик)?
A) 15 с
Б) 20 с
В) 25 с
Г) 45 с
Д) расстояние между ними не меняется в течении всего времени движения
19
Двигаясь на электроцикле, Робик увидел вспышку салюта, а через t1 = 3,0 c услышал звук разрыва заряда. С какой скоростью v двигался Робик, если место запуска салюта он проехал через t2 = 33,0 c после того, как заметил вспышку?
A) 10 м/с Б) 27,5 м/с В) 30 м/с Г) 33 м/с Д) 110 м/с
20

Алисе и Ване необходимо переплыть реку из точки А в точку В (см. рис.). Алиса плыла со скоростью v1 = 2vT, которая направлена перпендикулярно течению реки, и её снесло в точку С. Поэтому до точки В Алиса прошла со скоростью vA = kv1. Ваня стартовал одновременно с Алисой, но приплыл прямо в точку В. Несмотря на то, что его скорость равна по модулю скорости Алисы v2 = v1, они прибыли в точку В одновременно. Определите во сколько раз k скорость Алисы по берегу больше её скорости в воде.
A) в 1,5 раза
Б) в 2,0 раза
В) в 2,5 раза
Г) в 2,8 раза
Д) в 3,2 раза
21
Ваня решил спрыгнуть с тарзанки. Длина эластичного шнура в свободном состоянии l0 = 10 м, а его жёсткость k = 720 Н/м. На какую минимальную силу Fmin должно быть рассчитано крепление тарзанки, если масса Вани вместе со снаряжением m = 60 кг?
Примечание. Минимальная сила определяется без учёта массы тарзанки.
A) 0,60 кН Б) 1,2 кН В) 1,8 кН Г) 2,4 кН Д) 3,6 кН
22

Ваня удерживает в равновесии одноосную тележку с тремя однородными грузами одинаковой массы (см. рис.), прикладывая силу F1 = 240 H. Алиса, увидев, как Ване тяжело, решила ему помочь и сняла груз 1. Определите, какую силу F2 нужно приложить Ване, чтобы удержать оставшиеся грузы в равновесии.
A) 80 Н Б) 160 Н В) 200 Н Г) 240 Н Д) 320 Н
23
Тем временем Чепик проводил опыты, опуская два кубика одинакового объёма (V1 = V2) но разной массы в воду. Первый кубик погрузился на h1 = 10 см, а второй на h2 = 14 см. На какую глубину h погрузятся кубики, если поставить их друг на друга?
Примечание. Глубиной погружения считайте расстояние от поверхности воды до нижней грани кубика.
A) 4 см Б) 8 см В) 12 см Г) 18 см Д) 24 см
24
Алисе и Ване необходимо при помощи крана поднять тяжёлую плиту на высоту h = 30 м за ∆t = 10 с. Ваня предложил поднять плиту равноускоренно, а Алиса предложила половину высоты поднимать плиту равноускоренно, а вторую половину – равнозамедленно, с тем же по модулю ускорением. Определите на сколько процентов ε будет отличаться работа AB, совершенная краном Вани, по отношению к работе AA, совершенной краном Алисы.
Примечание. Потери энергии на подъём элементов крана и силы трения не учитывайте.
A) 4,5% Б) 6,0% В) 9,0% Г) 15% Д) 25%
25
– Я самостоятельно изучил Закон Пуазейля, – хвастался Алисе Ваня. – Он гласит, что при установившемся ламинарном течении вязкой несжимаемой жидкости сквозь капилляр, объёмный расход жидкости Q (м3/с) можно рассчитать по формуле:
, где ∆p (Па) – перепад давления на концах трубы; d (м) – диаметр капилляра; η (Па • с) – коэффициент динамической вязкости; l (м) – длина капилляра; π ≈ 3,14.
– А чему равно значение безразмерного коэффициента α? – спросила Алиса.
Помогите Ване ответить правильно.
A) 0,5 Б) 1 В) 2 Г) 3 Д) 4
26

Для того, чтобы расплавить металлический кубик, ребро которого а = 10 см, а начальная температура t0 = 20°С, Робику понадобилось количество теплоты Q = 1,9 МДж. Используя таблицу, определите, из какого металла изготовлен кубик.
Примечание. tпл – температура плавления вещества, c – удельная теплоёмкость вещества, λ – удельная теплота плавления вещества, ρ – плотность вещества. Потери теплоты в окружающую среду не учитывайте.
A) алюминий Б) магний В) олово Г) свинец Д) цинк
27
Робик перекрыл перегородкой сосуд общим объёмом V = 20,0 л так, что в первой его части объёмом V1 = 2,0 л находится воздух с относительной влажностью φ1 = 75%. Какая должна быть относительная влажность воздуха φ2 во второй части сосуда, чтобы после того, как Робик уберёт перегородку, в сосуде установилась относительная влажность φ = 39%? Температура воздуха в обеих частях сосуда одинакова.
A) 0,0% Б) 3,0% В) 14% Г) 35% Д) 36%
28
Робик обнаружил множество одинаковых заряженных капелек, при этом заряд каждой из них q = 1,6 нКл, а диаметр d = 2,0 мкм. Тогда Робик решил получить большую заряженную каплю объединением нескольких маленьких капелек. Какой электрический заряд Q имеет капля Робика, если ее диаметр D = 1,0 мм?
Примечание. Капли имеют форму шара, а объем шара пропорционален кубу его радиуса V = kR3.
A) 0,8 мкКл Б) 400 мкКл В) 180 мКл Г) 200 мКл Д) 320 мКл
29

Чепик, соблюдая технику безопасности, проводил опыты с электрическим током. Изначально он работал с резистором сопротивлением R1 = 30 Ом, а затем в некоторый момент времени подключил дополнительный резистор. На графике представлена зависимость заряда q, протекшего в электрической цепи, собранной Чепиком, от времени t. Определите, какую дополнительную нагрузку R2 и каким образом подключил Чепик, если в течении эксперимента подаваемое напряжение не менялось.
A) последовательно, R2 = 30 Ом
Б) последовательно, R2 = 60 Ом
В) последовательно, R2 = 90 Ом
Г) параллельно, R2 = 7,5 Ом
Д) параллельно, R2 = 10 Ом
30

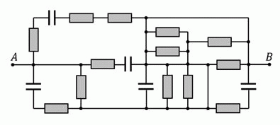
Когда Чепик решил заняться изучением электричества, Ваня дал ему задание: определить сопротивление участка электрической цепи AB, изображённого на рисунке, если сопротивления всех резисторов одинаковы R1 = 10 Ом.
Помогите Чепику.
Примечание. Сопротивлением соединительных проводов можно пренебречь.
A) 10 Ом Б) 20 Ом В) 30 Ом Г) 40 Ом Д) 50 Ом