1
Ускорение свободного падения считать равным 10 м/с2, плотность мрамора – 2,7 г/см3, плотность железа (стали) – 7,8 г/см3, плотность серебра – 10,5 г/см3, плотность воды – 1,0 г/см3, плотность молока – 1,03 кг/м3, плотность керосина – 0,80 г/см3, плотность воздуха при температуре 20⁰С – 1,3 кг/м3, плотность жидкого воздуха при температуре –194⁰С – 0,86 г/см3
Тетя Мардж, которую надул Гарри, долго летала как воздушный шар в ночном небе, пока ее не поймали с помощью веревки, которую удалось привязать к ноге. В таком состоянии ее и поместили в автобус. Веревку привязали к сиденью, а тетя оказалась под крышей. Что произойдет с тетей Мардж при разгоне автобуса?
A) сдвинется вперед
Б) отлетит назад
В) останется на том же месте
Г) будет колебаться вправо-влево
Д) увеличится в объеме в два раза
2
Гарри Поттер скучал в башне Грифиндора как узник Азбакана. Неожиданно под окном возник какой-то шум. Это Рон принес ему посылку. Какую работу нужно совершить Гарри, чтобы поднять посылку через окно башни при помощи стального троса, диаметр сечения которого 10 мм? Масса посылки 10 кг, высота окна 10 м.
A) 1,0 кДж Б) 1,3 кДж В) 1,6 кДж Г) 1,8 кДж Д) 2,0 кДж
3
Артур Уизли, отец Рона, никак не мог понять, как маглы темными вечерами читали книги. Он совершенно запутался с их единицами измерения. Подскажите Артуру Уизли, какую физическую величину можно измерить в киловатт-часах?
A) силу тока
Б) электрическое напряжение
В) работу электрического тока
Г) мощность электрического тока
Д) время
4
Для того, чтобы научиться держать равновесие при полете на метле, Рон должен разобраться, какой груз и на каком месте нужно поместить на невесомый стержень с правой стороны, чтобы тот был в равновесии. С левой стороны стержня закреплена гиря массой 10 кг. Помогите Рону.

A) 25 кг на нить 1
Б) 10 кг на нить 2
В) 9,0 кг на нить 3
Г) 7,5 кг на нить 4
Д) 6,5 кг на нить 5
5
Продолжая изучать равновесие, Рон Уизли на рычажных весах уравновесил кусок мрамора массой 2 кг и двухкилограммовую железную гирю. Останутся ли чашки весов в равновесии, если весы погрузить в воду?
A) Да.
Б) Нет. Перевесит гранитный булыжник.
В) Нет. Перевесит железная гиря.
Г) Нет. Весы будут колебаться.
Д) Гири всплывут.
6
На уроке зельеварения Гермиона поставила на чашки рычажных весов два одинаковых сосуда, наполненных соком мурлокомля, в одном из которых плавает деревянный кубик. Уровень сока в них одинаков. Находятся ли весы в равновесии?
A) да
Б) перевесит сосуд с кубиком
В) перевесит сосуд без кубика
Г) ответ зависит от того, на какую глубину погружен кубик
Д) ответ зависит от температуры сока
7
Пытаясь помочь Гарри выиграть Кубок огня, Рон рассчитал, что Гигантский кальмар, обитающий в морях и в озере Хогвартса, всасывает и выбрасывает ежесекундно воду объемом 100 л. Модуль скорости выбрасываемой воды относительно кальмара 10 м/с. Помогите Рону определить модуль реактивной силы кальмара.
A) 500 Н Б) 1,0 кН В) 2,0 кН Г) 5,0 кН Д) 10 кН
8
Гарри, Рон и Гермиона прогулялись от Хогвартса до Хогсмида за полчаса со скоростью 6,0 км/ч. Посидев четырнадцать минут в пабе «Три метлы», они вспомнили, что обещали через десять минут встретиться с Хагридом. Для этого им пришлось бежать со скоростью 9,0 км/ч. С какой средней скоростью от Хогвартса до Хижины Хагрида двигались ребята, если компания успела на встречу вовремя?
A) 4,5 км/ч Б) 5,0 км/ч В) 6,0 км/ч Г) 7,0 км/ч Д) 7,5 км/ч
9
Хагрид пилил дрова. Рон и Гермиона стали спорить, на сколько сместиться центр тяжести бревна, если от него отрезать 2 м. Помогите ребятам разобраться, если длина бревна 6 м. Бревно считать однородным цилиндрическим телом.
A) 1 м Б) 1,5 м с В) 2 м Г) 2,5 м Д) 3 м
10
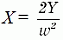
Изучая прыжки Гиппогрифа, Хагриду потребовалось определить, какую физическую величину можно рассчитать по формуле:
, где Y – потенциальная энергия, w – растяжение.
Помогите Хагриду.
A) коэффициент трения
Б) коэффициент сопротивления
В) коэффициент жесткости
Г) коэффициент полезного действия
Д) гравитационную постоянную
11
Катаясь зимой с горки, Гермиона обнаружила, что она начинает скользить, если угол с горизонтом составляет 30˚. Определите ускорение Гермионы в этом случае, если коэффициент трения скольжения составляет 80% коэффициента трения покоя.
A) 1 м/с2
Б) 2 м/с2
В) 3 м/с2
Г) 4 м/с2
Д) тело будет двигаться равномерно
12
Изучая химический состав омута памяти, Дамблдор задумался: «Молекулы какого вещества при одинаковой температуре имеют большую среднюю квадратичную скорость: кислорода (МО = 32 г/моль) или водорода МН = 2 г/моль)?»
Помогите Дамблдору.
A) скорость молекул водорода больше в 16 раз
Б) скорость молекул водорода больше в 4 раза
В) скорости молекул кислорода и водорода равны
Г) скорость молекул кислорода больше в 4 раза
Д) скорость молекул кислорода больше в 16 раз
13
Перед тем, как искать Дары Смерти, Рон и Гарри проводили тренировку. Они отмерили себе дистанцию и побежали. Гарри пробежал за 48 секунд, а Рон за 36 секунд. При этом, когда Рон прибежал к финишу, Гарри осталось пробежать 10 шагов. Тогда, чтобы прибежать вместе, они отмерили Рону дистанцию на 10 шагов больше. Кто прибежал к финишу первым, если их средние скорости остались прежними?
A) Гарри прибежал первым, опередив Рона на 3 с
Б) Гарри прибежал первым, опередив Рона на 1 с
В) Гарри и Рон прибежали к финишу одновременно
Г) Рон прибежал первым, опередив Гарри на 1 с
Д) Рон прибежал первым, опередив Гарри на 3 с
14
Артур Уизли посетил по делам школу маглов и после визита в кабинет химии спросил у Гарри Поттера: «Что это за человек изображен на портрете? Может это Принц-полукровка?»
Помогите Гарри ответить сотруднику Министерства Магии.

A) Клапейрон Б) Менделеев В) Ньютон Г) Ом Д) Фарадей
15
Рон заметил, что в кольцо летит квоффл (мяч) и ударил по нему метлой. С какой скоростью относительно земли отлетел квоффл, если его скорость до удара 5 м/с, а скорость метлы во время удара 8 м/с? Масса квоффла значительно меньше массы Рона с метлой, а удар абсолютно упругий.
A) 1 м/с Б) 5 м/с В) 8 м/с Г) 13 м/с Д) 21 м/с
16
Плакса Миртл никак не могла вспомнить, где Тайная комната. От досады она так сильно заревела, что струя слез под прямым углом падала на стенку со скоростью 10 м/с и стекала с нее на кафель. Чему равно давление слез на стенку, если считать, что слезы – это вода?
A) 5,0 кПа Б) 10 кПа В) 20 кПа Г) 50 кПа Д) 0,10 МПа
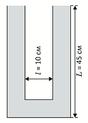
17
Обычно, стеклянные трубки делают с круглым сечением. В Хогвартсе же используются трубки с квадратным сечением, сторона которых a = 1 см. Профессор Снейп из трубки сделал сообщающиеся сосуды так, как показано на рисунке.

В правое колено сосудов он налил воду, массой m1 = 70 г. Какой максимальный объем керосина в миллилитрах он сможет долить в левое колено? Толщиной стекла можно пренебречь.
A) 25 мл Б) 30 мл В) 35 мл Г) 40 мл Д) 45 мл
18
При изучении техники метлолетания Рон пытался ответить на вопрос: «Что произойдет с давлением идеального газа при изобарном процессе, если его объем уменьшить в два раза?»
Помогите Рону, иначе его не зачислят в команду.
A) увеличится в четыре раза
Б) увеличится в два раза
В) уменьшится в два раза
Г) уменьшится в четыре раза
Д) среди ответов нет правильного
19
Гарри, Рон и Гермиона обнаружили секретное письмо, спрятанное пожирателями смерти. В нем зашифровано кодовое слово. Орден Феникса дал ребятам пять возможных вариантов ответа. Помогите им выбрать правильный.
Вопрос 1. Мельчайшая частица вещества, сохраняющая его свойства?
Вопрос 2. Ученый, в честь которого иногда называют хаотическое движение частиц вещества?
Вопрос 3. Как называется график, изображающий процесс, при котором температура газа не изменяется?

A) Ермак Б) Орион В) Сумма Г) Титан Д) Туман
20
Наступила зима, а Гарри, Рон и Гермиона все еще скрывались от того, Кого Нельзя Называть. Стоял мороз. Даже в стакане с молоком, который на завтрак хотела выпить Гермиона, плавал кусок льда. Через некоторое время лед растаял.
– Интересно, – спросил Гарри, – уровень молока в стакане изменился?
А как считаете вы?
A) не изменился
Б) увеличился
В) уменьшился
Г) ответ зависит от объема стакана и объема льда
Д) ответ зависит от площади дна стакана и объема льда
21
Гермиона научилась заклинанию, которое охлаждало азот ниже температуры конденсации. Гарри предложил сунуть в жидкий азот воздушный шарик, объемом 8,6 л. Сказано – сделано. Какой объем жидкого воздуха у них получился?
A) 13 мл
Б) 6,5 мл
В) 1,3 мл
Г) 0,65 мл
Д) среди ответов нет правильного
22
Для настройки перемещения через камин, Артур Уизл исследовал идеальный газ, который совершает циклический процесс, график которого изображен на рисунке. Помогите Уизли определить отношение максимальной температуры газа в ходе процесса к минимальной.

A) 3 Б) 3,3 В) 3,5 Г) 4 Д) 5
23
Рон Уизли вертикально вверх бросает конфету с начальной скоростью 20 м/с. Через какое время конфета будет на высоте 15 м от поверхности земли? Сопротивлением воздуха пренебречь.
A) через 1 с
Б) через 2 с
В) через 3 с
Г) через 1 с и 2 с
Д) через 1 с и 3 с
24
Зеркало Сириуса Блэка, крестного Гарри Поттера, состоит из двух плоских, связанных между собой зеркал. Сириус расположил зеркала так, чтобы они образовали двухгранный угол 60⁰. Между ними на одинаковом расстоянии от их поверхностей он поставил Философский камень (точнее, его копию). Сколько изображений получится в такой системе зеркал?

A) 2 Б) 3 В) 4 Г) 5 Д) 6
25
Рон и Гермиона провели экспериментальное исследование. К источнику постоянного напряжения подключали резистор, измеряли сила тока в цепи, затем в цепь добавляли последовательно еще один резистор, и снова измеряли силу тока. И так до тех пор, пока количество резисторов в цепи не достигло 20 штук. Сопротивление всех резисторов одинаково.
Используя результаты эксперимента, они построили график зависимости силы тока в цепи от количества подключенных резисторов.

Помогите им среди предложенных гипотез выбрать ту, которая противоречит результатам проведенного эксперимента.
A) При увеличении количества подключаемых таким образом резисторов сила тока в цепи падает.
Б) При уменьшении количества подключаемых таким образом резисторов общее сопротивление цепи возрастает.
В) Сила тока в цепи обратно пропорциональна количеству подключаемых таким образом резисторов.
Г) Если к данному источнику подключать не более 10 таких резисторов таким же образом, то сила тока в цепи не будет ниже 0,6 А.
Д) Сила тока в цепи в ходе эксперимента не превышала 2 А.
26
Плащ невидимка входил в Дары Смерти. Гарри Поттер накинул плащ и затаился, чтобы его не учуял Василиск. В это время на него действовало три силы: сила тяжести, сила трения, равная 200 Н, и сила реакции опоры, равная 480 Н. Определите массу Гарри.
A) 20 кг Б) 44 кг В) 48 кг Г) 52 кг Д) 68 кг
27
Для того чтобы взорвать кабинет Амбридж, Фреду и Джорджу Уизли понадобилось топливо, стакан которого (200 мл) выделяет 4,74 МДж теплоты. Помогите близнецам подобрать топливо.
| № |
Вещество |
Удельная теплота сгорания q, МДж/кг |
Плотность ρ, кг/м3 |
| A) |
Бензин |
43 |
700 |
| Б) |
Дизельное топливо |
42,7 |
850 |
| В) |
Этанол |
30 |
790 |
| Г) |
Метанол |
22,7 |
790 |
| Д) |
Керосин |
40,8 |
800 |
28
После очередного взрыва на уроке зельеварения Северус Снейп не выдержал и заставил всех выучить формулу
. А как называют эту формулу в обычных школах?
A) законом Бойля-Мариотта
Б) законом Дальтона
В) основным уравнением молекулярно-кинетической теории
Г) уравнением Клапейрона
Д) уравнением Клапейрона-Менделеева
29
Пытаясь спасти Седрика Диггори, масса которого 60 кг, Гарри Поттер пытается его оттащить к порталу. Но сила трения слишком велика – 250 Н, и Седрик остался неподвижным. Определите, какую силу приложил Гарри Поттер. Поверхность земли считайте горизонтальной.
A) 250 Н Б) 500 Н В) 600 Н Г) 650 Н Д) 850 Н
30
После схватки с тем, Кого Нельзя Называть, все лежало в руинах. Например, серебряная колонна высотой 2,00 м и основанием в форме квадрата стороной 1,00 м упала на боковую сторону. Какую минимальную работу нужно совершить, чтобы поднять ее на основание?
A) 105 кДж Б) 130 кДж В) 210 кДж Г) 315 кДж Д) 420 кДж5