1
Укажите формулу частицы с наиболее длинной связью.
A) F2
Б) Cl2
В) ClF
Г) Br2
Д) IBr
2
В состав накипи в чайнике входит…
A) NaCl
Б) BaСO3
В) MgCO3
Г) NH4NO3
Д) СuS
3
Валентность одного из элементов не равна его степени окисления в молекуле…
A) H2O2
Б) P4O10
В) H2SO4
Г) NH3
Д) CO2
4
Масса молекулы Sх при некоторых условиях равна 3,19 • 10–22 г. Укажите значение х.
(1 а.е.м. = 1,66 • 10–27 кг).
A) 2 Б) 4 В) 6 Г) 8 Д) 10
5
Атомы какого химического элемента вместе с железом образуют сплав под названием «сталь»?
A) алюминия Б) магния В) калия Г) азота Д) углерода
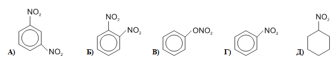
6
В реакции бензола с нитрующей смесью преимущественно образуется вещество строения…

7
Пространственная (цис-, транс-изомерия) возможна для…
A) стеариновой кислоты
Б) молочной кислоты
В) линолевой кислоты
Г) аминоуксусной кислоты
Д) уксусной кислоты
8
Незнайка и его друзья решили отправиться в космическое путешествие на Луну. Предусмотрительный Знайка посоветовал им позаботиться о регенерации кислорода и для этого предложил взять с собой вещество, формула которого…
A) H2O2
Б) KNO3
В) KClO3
Г) KO2
Д) KMnO4
9
В 1955 г на Парижской выставке демонстрировали слиток «серебра из глины». Что это за «серебро»?
A) Hg Б) Al В) Zn Г) Co Д) N
10
Совместно в значительных количествах в водном растворе могут присутствовать ионы…
A) H+ и OH-
Б) HCO3- и OH-
В) HSO3- и H+
Г) Al(OH)63- и OH-
Д) Al3+ и OH-
11
Трехголовый сказочный Змей Горыныч выдыхал из пастей три различных газа: из левой пасти – газ А желто-зеленого цвета, из средней – газ Б голубого цвета, из правой – бесцветный горючий газ В, не имеющий запаха. Укажите формулы соответственно газов А, Б и В.
A) HCl, O2, H2S
Б) Cl2, O3, H2S
В) N2, NH3, CO2
Г) NO, NO2, CO
Д) Cl2, O3, CO
12
Наиболее сильным основанием из перечисленных является…
A) анилин
Б) аммиак
В) метиламин
Г) известковая вода
Д) глицин
13
Замесила баба тесто и испекла Колобок. Колобок удался на славу, с аппетитной хрустящей корочкой. Из какого вещества, в основном, состоит корочка?
A) целлюлозы Б) крахмала В) мальтозы Г) декстринов Д) глюкозы
14
Юху для опыта понадобился раствор с массовой долей KOH 30%. Он рассудил так: «если к раствору с массовой долей KOH 10% прибавить 20%-й раствор KOH, то и получится как раз 30%-й раствор». Юх взвесил одинаковые массы 10%-го и 20%-го растворов, смешал их и измерил плотность. К большому удивлению раствор имел совсем не такую плотность, как указано в справочнике для 30%-го раствора. Раствор с какой массовой долей KOH получил Юх?
A) 5% Б) 7% В) 9% Г) 12% Д) 15%
15
Наименее полярна связь О–Н в молекуле…
A) фенола
Б) серной кислоты
В) этанола
Г) уксусной кислоты
Д) воды
16
Массу, равную примерно 2 u, имеет частица, символ которой…
A) α Б) D В) T Г) β Д) 11p
17
Характер связей в молекуле озона часто изображают, учитывая образование одинарных и двойных связей. Укажите правильное распределение зарядов для записанных таким образом структур.

18
Укажите схему α-распада.
A) 32S + 42He → 14Cl + X
Б) 210Po → 206Pb + X
В) 14N + 10n → 14C + X
Г) 17N → 17O + X
Д) 11B + 11p → X
19
Юх получил ациклическое органическое вещество Х и установил, что его молекула содержит две двойные связи углерод–углерод и одну карбоксильную группу (остальные связи углерод–углерод одинарные, других функциональных групп в молекуле нет). Суммарное число атомов Н и О в этой молекуле равно 10. Помогите Юху найти молярную массу (г/моль) вещества Х.
A) 112 Б) 126 В) 140 Г) 154 Д) 168
20
При прочих равных условиях быстрее всего корродирует (все предметы сделаны из железа)…
A) шуруп Б) гвоздь В) скрепка Г) кнопка Д) проволока
21
Валентный угол в молекуле CS2 равен (для ответа примените модель отталкивания валентных электронных пар)…
A) 60° Б) 90° В) 109° Г) 120° Д) 180°
22
Больший радиус, чем атом серы, имеет частица…
A) ион S+6
Б) атом Cl
В) ион Cl+
Г) ион S2–
Д) ион P+5
23
Энергией ионизации Еион называется количество энергии, необходимое для отрыва электрона от невозбужденного атома. Различают первые энергии ионизации (отрывается один электрон), вторые, третьи и т.д. Для какого атома вторая энергия ионизации будет самая большая?
A) Na Б) Mg В) Ar Г) Al Д) Si
24
Укажите электронную схему, в которой нарушено правило Хунда.

25
Наибольшую температуру плавления имеет…
A) LiF
Б) LiCl
В) CaI2
Г) CsBr
Д) CaF2
26
Молекула углеводорода содержит одну двойную, две тройные связи и три насыщенных цикла. Рассчитайте общее число химических связей в молекуле углеводорода, содержащей n атомов углерода.
A) 3n – 5
Б) 3n – 6
В) 3n – 7
Г) 3n – 8
Д) 3n – 9
27
2,2-диметилпропан при взаимодействии с хлором при облучении образует органическое вещество А, которое с натрием при нагревании образует вещество Б, при дальнейшем взаимодействии которого с бромом получается смесь двух органических веществ В и Г. При слабом нагревании смеси со спиртовым раствором щелочи вещество Г не реагирует, а вещество В образует два стереоизомера. Укажите название вещества Г.
A) 2,2,5,5-тетраметилгексан
Б) 1-бром-2,2-диметилгексан
В) 3-бром-2,2,5,5-тетраметилгексан
Г) 1-бром-2,2,5,5-тетраметилгексан
Д) 1-бром-2,2,4,4,-тетраметилпентан
28
Число s-электронов в 1,4 раза больше числа d-электронов в атоме (основное состояние)…
A) Mn Б) Fe В) Cr Г) V Д) Zn
29

Вещество А распадается по двум параллельным реакциям:
А = Б + Q1, А = B + Q2 (энергетическая диаграмма приведена на рис.). Укажите все верные утверждения (n – химическое количество, v – скорость реакции).
1) в конечной смеси n(Б) > n(B)
2) в конечной смеси n(Б) < n(B)
3) в конечной смеси n(Б) = n(B)
4) Q1 > Q2
5) энергия активации первой реакции выше
6) v1 < v2
A) 1, 5, 6
Б) 2, 4, 5, 6
В) 3, 4, 5, 6
Г) 1, 4, 6
Д) 1, 3, 5, 6
30
С разработкой химической номенклатуры связано множество анекдотических историй. В 1870 г. Русское физико-химическое общество обсуждало предложение одного химика называть соединения по тому же принципу, по какому в русском языке строятся имена, отчества и фамилии. Например, KCl – Калий Хлорович, KClO3 – Калий Хлорович Кислов. Как исходя из этого подхода назвать один из продуктов взаимодействия Натрия Водородовича с Водородом Кислородовичем?
A) Натрий Кислородович
Б) Кислород Водородович
В) Водород Кислородович
Г) Водород Водородович
Д) Натрий Кислородович Кислов