1
– Росинка, посмотри какой я энергичный! – прикрикивал Чёпик бегая по комнате вокруг Росинки.
– Кстати, ребята, а что является единицей измерения энергии в СИ? – решила устроить мини-экзамен ребятам Алиса.
Помогите ребятам ответить на вопрос Алисы.
A) Ампер Б) Джоуль В) Килограмм Г) Ньютон Д) Паскаль
2
– А что означает аббревиатура МКТ? – спросила Росинка у Алисы.
– Как физик физику я тебе скажу, что это очень интересная тема! – ответила Алиса.
А как расшифровывается в физике эта аббревиатура?
A) Магический курс телепатии
Б) Магнитный квантовый турбогенератор
В) Механический классический тест
Г) Многоуровневая компьютерная технология
Д) Молекулярно-кинетическая теория
3
Ваня писал физический диктант и ему нужно было вставить пропущенное слово:
«Тепловое равновесие – состояние изолированной физической системы, при котором все её ... параметры остаются неизменными с течением времени».
Подскажите Ване, какое слово пропущено.
A) Внутренние Б) Макроскопические В) Микроскопические Г) Термодинамические Д) Физические
4
– В механике группу из нескольких тел называют механической системой! – блеснул эрудицией Чёпик.
– А какие силы могут изменить импульс механической системы? – неожиданно спросила его Росинка.
– Изменить импульс механической системы могут только ... силы.
Вставьте пропущенное слово.
A) внешние Б) внутренние В) неньютоновские Г) сторонние Д) электромагнитные
5
– А ты знаешь, что теплообмен – самопроизвольный процесс передачи внутренней энергии от тела с большей температурой телу с меньшей температурой без совершения работы? – неожиданно спросила у Вани Алиса.
– А что является количественной мерой энергии, переданной телу в процессе теплообмена? – решил поддержать разговор Ваня.
Помогите ребятам выбрать правильный ответ.
A) Внутренняя энергия
Б) Количество теплоты
В) Постоянная Больцмана
Г) Работа
Д) Температура
6
Росинка проверяла, как Ваня выучил закон Кулона.
– Закон Кулона! – торжественно начал Ваня. – Модули сил взаимодействия двух ... неподвижных заряженных тел в вакууме прямо пропорциональны произведению модулей зарядов этих тел, обратно пропорциональны квадрату расстояния между ними, а сами силы направлены вдоль прямой, соединяющей эти тела.
– Одно ключевое слово ты всё же пропустил, – строго сказала Росинка.
Помогите Ване и укажите пропущенное им слово там, где в определении стоит многоточие.
A) диэлектрических Б) металлических В) точечных Г) электрических Д) элементарных
7

Росинка показала Алисе рисунок из учебника физики 10-го класса.
– На рисунке изображён термометр и барометр, – заметила Росинка. – Но я не понимаю, зачем здесь колба с газом.
Помогите Росинке и Алисе разобраться, какой процесс демонстрирует рисунок.
A) Адиабатный Б) Изобарный В) Изотермический Г) Изохорный Д) Фазовый
8
– А ты знаешь, – обратился Чёпик к Росинке, – что многие физические величины названы в честь учёных? Я даже составил таблицу, соответствующую.
– Конечно, знаю, – уверенно ответила Росинка, – и вижу, что в твоей таблице есть одна ошибка.
Помогите Чёпику найти, в какой строке допущена ошибка.
| |
Учёный |
Физическая величина |
| A) |
Джеймс Прескотт Джоуль |
Количество теплоты |
| Б) |
Уильям Томсон, лорд Кельвин |
Абсолютная температура |
| В) |
Блез Паскаль |
Давление |
| Г) |
Исаак Ньютон |
Сила |
| Д) |
Джеймс Уатт |
Электрическое напряжение |
9

Спутник S массой m движется по круговой орбите вокруг Земли (рисунок). Для определения силы гравитационного притяжения между спутником и Землёй Алиса использовала формулу
,
где G – гравитационная постоянная, M – масса Земли.
Помогите Алисе определить, длине какого отрезка соответствует расстояние r в этой формуле.
A) r = AC
Б) r = BD
В) r = BE
Г) r = SB
Д) r = SE
10
– Это что за перечень бытового оборудования? – спросила Росинка.
– Это основные части теплового двигателя, – раздражённо ответил Чёпик.
– Но тогда у тебя один элемент лишний, – не унималась Росинка.
Помогите ребятам разобраться и укажите лишнюю часть теплового двигателя.
A) Кондиционер
Б) Нагреватель
В) Рабочее тело
Г) Холодильник
Д) Тепловой двигатель состоит из всех перечисленных элементов.
11
Чёпик за верёвочку равномерно тянет в горку саночки, на которых сидит Росинка. Работа какой из сил, действующей на санки, равна нулю относительно поверхности горки?
A) Силы нормальной реакции опоры
Б) Силы трения
В) Силы тяжести
Г) Силы упругости верёвки
Д) Работа всех перечисленных сил равна нулю
12
– Опять в мобильнике завис? – укоризненно заметила Росинка.
– Ничего и не завис, – обиделся Чёпик. – Ищу температуру плавления стекла.
Помогите Чёпику найти правильный ответ.
A) 100°C Б) 500°C В) 1000°C Г) 1500°C
Д) У стекла нет определённой температуры плавления
13
– Это уже химия какая-то! – возмущался Ваня.
– Что у вас случилось? – заинтересовалась у ребят Алиса.
– Домашнее задание у нас случилось! Помоги, пожалуйста, решить задачу, – попросила её Росинка. – Вот условие: «Определите молярную массу газа, если 5,0 моль этого газа имеют массу 90 грамм».
Какая из формул поможет ребятам решить данную задачу?
A) n = N/V
Б) M = m/ν
В) p = nkT
Г) M = mRT : pV
Д) E = mc2
14

Робик сконструировал водопроводную систему для полива грядок, которая состоит из большого бака и нескольких трубок одинакового диаметра. В какой трубке при поливе грядок скорость воды будет большая?
A) №1 Б) №2 В) №3 Г) №4
Д) Во всех трубках скорость будет одинаковая.
15
– Чтобы найти молярную массу газа, мне нужно его массу разделить на его количество вещества, – рассуждал вслух, при решении задачи Чёпик.
– Интересно, а как изменится молярная масса газа, если количество вещества увеличить в α = 4,0 раза? – тоже решила порассуждать вслух Росинка.
Помогите Чёпику верно ответить на вопрос Росинки.
A) Уменьшится в 4 раза
Б) Уменьшится в 2 раза
В) Не изменится
Г) Увеличится в 2 раза
Д) Увеличится в 4 раза
16

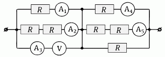
Робик собрал электрическую цепь, в которую, помимо семи одинаковых резисторов, вошли пять идеальных амперметров и идеальный вольтметр (рисунок). Какой амперметр покажет большее значение силы тока после подключения цепи к источнику тока?
A) А1 Б) А2 В) А3 Г) А4 Д) А5
17

Робик сконструировал коробку с зеркальными внутренними стенками, внутри которой поставил коробку, с зеркальными внешними стенками. Основания коробок – квадраты. В стенках большой коробки он проделал пять отверстий, после чего в отверстия X и Y он запустил два лазерных луча (рисунок). Через какие отверстия выйдут лучи 1 и 2 из коробки?
Примечание. Отверстия A, B, C, X и Y и также световые лучи лежат в одной плоскости, перпендикулярной зеркальным поверхностям.
A) Луч 1 в отверстие A, луч 2 в отверстие B.
Б) Луч 1 в отверстие A, луч 2 в отверстие C.
В) Луч 1 в отверстие B, луч 2 в отверстие A.
Г) Луч 1 в отверстие B, луч 2 в отверстие C.
Д) Луч 1 в отверстие C, луч 2 в отверстие A.
18
– Когда я вырасту, стану космонавтом, – заявил Чёпик. – Буду на космическом корабле вокруг Земли летать, невесомостью наслаждаться.
– Только далеко не улетай, – попросила его Росинка.
– Хорошо, буду летать на околоземной орбите.
– Получается, корабль полетит по окружности, а это означает, что у тебя будет центростремительное ускорение! Интересно, чему оно будет равно?
Помогите ребятам ответить на этот вопрос.
Примечание. g – ускорение свободного падения.
A) 0,25g Б) 0,5g В) g Г) 2g Д) 4g
19
– Чёпик, зачем ты пустую банку феном нагреваешь? – спросила Росинка.
– Не мешай мне, я влажность воздуха уменьшаю, – с серьёзным видом ответил Чёпик. – А банка, между прочим, герметично закупорена!
– А какую влажность ты собираешься уменьшить: абсолютную или относительную?
Помогите ребятам разобраться, что произойдёт с абсолютной и относительной влажностью воздуха при его нагревании в герметично закрытой банке?
Примечание. Тепловое расширение банки пренебрежимо мало.
A) Абсолютная и относительная влажность не изменятся.
Б) Абсолютная и относительная влажность увеличатся.
В) Абсолютная влажность не изменится, а относительная – уменьшится.
Г) Абсолютная влажность увеличится, а относительная – не изменится.
Д) Абсолютная и относительная влажность уменьшатся до некоторого значения, а потом будут оставаться постоянными.
20
– Если уронить мячик с крыши, то его потенциальная энергия будет уменьшаться! – увлечённо объясняла Росинка Чёпику закон сохранения энергии.
– Хорошо, а как при этом будут изменяться кинетическая и полная механическая энергии? – спросил Чёпик.
– Если пренебречь сопротивлением воздуха, то кинетическая энергия будет …, а полная механическая энергия … .
Заполните пропуски.
A) уменьшаться; уменьшаться
Б) уменьшаться; оставаться постоянной
В) увеличиваться; уменьшаться
Г) увеличиваться; оставаться постоянной
Д) увеличиваться; увеличиваться
21


– Это что за художество? – с удивлением спросила Росинка.
– Это я для тебя загадку нарисовал! – с гордостью заявил Чёпик. – На рисунке есть три физических прибора. Впиши их названия в таблицу так, чтобы количество букв совпадало с количеством клеточек в строчке, и тогда узнаешь «тайное» слово!
Помогите Росинке разгадать загадку Чёпика.
A) БОЛОТО Б) КОЛЕСО В) ЛОСКУТ Г) УЧЕНИЕ Д) ХОЛОД
22

– А что это у тебя за записка секретная? – спросил у Росинки Чёпик.
– А это мне Алиса дала решить физическое уравнение! – бодро ответила Росинка. – И, между прочим, я уже решила. А теперь и ты посмотри и подумай, что нужно вставить вместо x, чтобы получилась верная запись?
Помогите Алисе верно ответить на вопрос.
A) 4,0 м2 Б) 40 Н В) 400 К Г) 0,40 Кл Д) 4,0 л
23
– Оказывается, расстояние от планеты до Солнца не так сложно найти, – решил блеснуть эрудицией Чёпик. – Для этого нужно знать массу Солнца M, период обращения планеты T и пару постоянных:
G = 6,67 ∙ 10-11 м3 ∙ с-2 ∙ кг-1 и π = 3,14.
И потом воспользоваться формулой:

– А чему равен показатель степени x? – спросила Росинка.
Помогите Чёпику ответить правильно.
A) -1 Б) 1/3 В) 1/2 Г) 2 Д) 3
24
– Алиса, напомни, чему равно ускорение свободного падения, – сказал Ваня.
– Я знаю! – радостно крикнул Чёпик. – Ускорение свободного падения g = 10 м/с2!
– Да, но это округлённое значение, часто применяемое при решении школьных задач, – поправила Чёпика Алиса. – Более точное значение g = 9,81 м/с2.
– Ну и жаль… – обиженно пробормотал Чёпик. – Неужели нельзя было выбрать эталон секунды, обозначим его с*, таким, чтобы коэффициент g был ровно 10 м/с*2 без округлений!
– Это, конечно, можно было бы сделать, но тогда T = 1 сутки не были бы равны 24 часам… – задумалась Алиса.
Какова была бы продолжительность суток в таком случае?
A) 22 ч 30 мин
Б) 23 ч 46 мин
В) 23 ч 59 мин
Г) 24 ч 38 мин
Д) 25 ч 55 мин
25
Чёпик и Росинка проводили исследование силы упругости. Чёпик использовал пружину с коэффициентом жёсткости k1 = 60 Н/м и начальной длиной l01 = 8,0 см. Характеристики пружины Росинки: k2 = 40 Н/м и l02 = 6,0 см. Когда ребята подвесили на свои пружины грузы одинаковой массы m, то длины пружин стали одинаковыми (l1 = l2 = l). Чему равна длина l?
A) 12 см Б) 24 см В) 30 см Г) 36 см Д) 48 см
26
Стальной шарик, который Росинка бросила вертикально вверх, побывал на некоторой высоте h от точки бросания дважды, через t1 = 0,6 с и t2 = 1,0 с после броска. Найдите высоту h.
Примечание. Сопротивление воздуха пренебрежимо мало.
A) 2 м Б) 3 м В) 4 м Г) 5 м Д) 6 м
27

– Это что за тенсегрити1? – спросила Росинка Чёпика.
– Это я рычаги изучаю, – важно ответил Чёпик. – На схеме два груза, а также очень лёгкие стержни и нити. Вот скажи, какой должна быть масса второго груза m2, чтобы система находилась в равновесии, если масса первого груза m1 = 1 кг.
Помогите Росинке ответить правильно.
Примечание. Относительные расстояния можно определить с помощью клеточного поля.
1Конструкция из стержней и тросов, в которой стержни работают на сжатие, а тросы – на растяжение.
A) 0,25 кг Б) 1 кг В) 2 кг Г) 3 кг Д) 4 кг
28

– Что это ты за волны рисуешь? – спросила Росинка Чёпика, глядя как тот ловко выводит синусоиду.
– Никакие это не волны, – терпеливо ответил Чёпик. – Вечный термодинамический двигатель конструирую. Пока только один процесс получился. Идеальный газ переходит из состояния 1 в состояние 2 (рисунок).
– А чему равна работа газа при таком переходе? – уже серьёзно спросила Росинка.
Помогите ребятам найти правильный ответ.
A) 8,0 Дж Б) 10 Дж В) 12 Дж Г) 15 Дж Д) 18 Дж
29

Шарик висит на невесомой нерастяжимой нити длиной l = 50 см. Росинка отвела шарик от положения равновесия и отпустила (рисунок). Оказалось, что ускорение шарика в нижней точке траектории равно ускорению свободного падения (a = g). Определите, на какое расстояние x от положения равновесия Росинка отвела шарик.
Примечание. Рисунок носит иллюстративный характер.
A) 10 см Б) 25 см В) 35 см Г) 50 см Д) 75 см
30

Электрон (m = 9,1 ∙ 10-31 кг, q = 1,6 ∙ 10-19 Кл) движется в однородном электростатическом поле, модуль напряжённости которого E = 570 В/м. В момент времени t0 = 0 с модуль скорости электрона v0 = 6,0 ∙ 106 м/с, а направление вектора v0 составляет угол α = 60° с вектором напряжённости Е (рисунок). Определите, в какой момент времени t модуль скорости электрона v будет минимальным.
A) 10 нс Б) 20 нс В) 30 нс Г) 40 нс
Д) Движение электрона будет равномерным (v = const).